Spis treści:
- NAZWA PRODUKTU LECZNICZEGO
- SKŁAD JAKOŚCIOWY I ILOŚCIOWY
- POSTAĆ FARMACEUTYCZNA
- SZCZEGÓŁOWE DANE KLINICZNE
- WŁAŚCIWOŚCI FARMAKOLOGICZNE
- DANE FARMACEUTYCZNE
- PODMIOT ODPOWIEDZIALNY POSIADAJĄCY POZWOLENIE NA
- NUMER POZWOLENIA NA DOPUSZCZENIE DO OBROTU
- DATA WYDANIA PIERWSZEGO POZWOLENIA NA DOPUSZCZENIE DO
- DATA ZATWIERDZENIA LUB CZĘŚCIOWEJ ZMIANY TEKSTU
CHARAKTERYSTYKA PRODUKTU LECZNICZEGO
NAZWA PRODUKTU LECZNICZEGO
SKŁAD JAKOŚCIOWY I ILOŚCIOWY
POSTAĆ FARMACEUTYCZNA
SZCZEGÓŁOWE DANE KLINICZNE
Wskazania do stosowania
Dawkowanie i sposób podawania
Przeciwwskazania
Specjalne ostrzeżenia i środki ostrożności dotyczące stosowania
Interakcje z innymi produktami leczniczymi i inne rodzaje interakcji
erytromycyna, umiarkowany inhibitor CYP3A4 i P-gp, nie zmienia farmakokinetyki rysperydonu ani czynnej frakcji przeciwpsychotycznej;
ryfampicyna, silny induktor CYP3A4 i P-gp, zmniejszała stężenie czynnej frakcji
przeciwpsychotycznej w osoczu.
Antycholinoesterazy:
donepezil i galantamina, substraty zarówno CYP2D6 i CYP3A4, nie wykazują istotnego klinicznie wpływu na farmakokinetykę rysperydonu ani jego czynnej frakcji przeciwpsychotycznej.
Leki przeciwpadaczkowe:
karbamazepina, silny induktor CYP3A4 i P-gp, zmniejsza stężenie czynnej frakcji przeciwpsychotycznej rysperydonu w osoczu. Podobne działanie można zaobserwować podczas
stosowania leków, takich jak np. fenytoina i fenobarbital, indukujących enzym wątrobowy CYP3A4 jak również P-gp;
topiramat zmniejszał w umiarkowanym stopniu biodostępność rysperydonu, ale nie jego czynnej
frakcji przeciwpsychotycznej. Dlatego ta interakcja może nie mieć znaczenia klinicznego.
Leki przeciwgrzybicze:
itrakonazol, silny inhibitor CYP3A4 i P-gp, w dawkach 200 mg/dobę zwiększał stężenie czynnej frakcji przeciwpsychotycznej w osoczu o około 70%, przy dawkach rysperydonu od 2 mg do
8 mg/dobę;
ketokonazol, silny inhibitor CYP3A4 i P-gp, w dawkach 200 mg/dobę zwiększał stężenie rysperydonu, a zmniejszał stężenie 9-hydroksyrysperydonu w osoczu.
Leki przeciwpsychotyczne:
fenotiazyny, mogą zwiększać stężenie rysperydonu w osoczu ale nie jego czynnej frakcji
przeciwpsychotycznej.
Leki przeciwwirusowe:
inhibitory proteazy: nie ma danych z oficjalnych badań; ponieważ jednak rytonawir jest silnym inhibitorem CYP3A4 i słabym inhibitorem CYP2D6, to rytonawir i wzmacniane rytonawirem inhibitory proteazy mogą zwiększać stężenia czynnej frakcji przeciwpsychotycznej rysperydonu.
Leki beta-adrenolityczne:
niektóre leki beta-adrenolityczne mogą powodować zwiększenie stężenia rysperydonu w osoczu, ale nie jego czynnej frakcji przeciwpsychotycznej.
Inhibitory kanałów wapniowych:
werapamil, umiarkowany inhibitor CYP3A4 i inhibitor P-gp, zwiększa stężenia rysperydonu i jego
czynnej frakcji przeciwpsychotycznej w osoczu.
Leki żołądkowo-jelitowe:
antagoniści receptora H2: cymetydyna i ranitydyna, słabe inhibitory CYP2D6 i CYP3A4, zwiększały biodostępność rysperydonu, lecz tylko w niewielkim stopniu jego czynnej frakcji przeciwpsychotycznej.
Selektywne inhibitory zwrotnego wychwytu serotoniny i trójpierścieniowe leki przeciwdepresyjne:
fluoksetyna, silny inhibitor CYP2D6, zwiększa stężenie rysperydonu w osoczu lecz w mniejszym
stopniu jego czynnej frakcji przeciwpsychotycznej;
paroksetyna, silny inhibitor CYP2D6, zwiększa stężenie rysperydonu w osoczu, ale w dawkach do 20 mg/dobę, a w mniejszym stopniu jego czynnej frakcji przeciwpsychotycznej. Większe dawki paroksetyny mogą jednak zwiększać stężenie czynnej frakcji przeciwpsychotycznej rysperydonu;
trójpierścieniowe leki przeciwdepresyjne, mogą zwiększać stężenia rysperydonu w osoczu, ale nie jego czynnej frakcji przeciwpsychotycznej. Amitryptylina nie wpływa na farmakokinetykę rysperydonu i jego czynnej frakcji przeciwpsychotycznej;
sertralina, słaby inhibitor CYP2D6 oraz fluwoksamina, słaby inhibitor CYP3A4, w dawkach do 100 mg/dobę, nie wywołują istotnych klinicznie zmian stężeń czynnej frakcji przeciwpsychotycznej rysperydonu. Natomiast, w dawkach większych niż 100 mg/dobę, sertralina lub fluwoksamina mogą zwiększać stężenia czynnej frakcji przeciwpsychotycznej rysperydonu.
Wpływ rysperydonu na farmakokinetykę innych produktów leczniczych
Leki przeciwpadaczkowe:
rysperydon nie wykazuje istotnego klinicznie wpływu na farmakokinetykę walproinianu czy
topiramatu.
Leki przeciwpsychotyczne:
arypiprazol, substrat CYP2D6 i CYP3A4: rysperydon w postaci tabletek lub wstrzyknięć nie wpływał na sumaryczną farmakokinetykę arypiprazolu i jego czynnego metabolitu dehydroarypiprazolu.
Glikozydy naparstnicy:
rysperydon nie wykazuje istotnego klinicznie wpływu na farmakokinetykę digoksyny.
Lit:
rysperydon nie wykazuje istotnego klinicznie wpływu na farmakokinetykę litu.
Wpływ na płodność, ciążę i laktację
Wpływ na zdolność prowadzenia pojazdów i obsługiwania maszyn
Działania niepożądane
Przedawkowanie
WŁAŚCIWOŚCI FARMAKOLOGICZNE
Właściwości farmakodynamiczne
Właściwości farmakokinetyczne
Przedkliniczne dane o bezpieczeństwie
DANE FARMACEUTYCZNE
Wykaz substancji pomocniczych
Niezgodności farmaceutyczne
Okres ważności
Specjalne środki ostrożności podczas przechowywania
Rodzaj i zawartość opakowania
jedna fiolka z przezroczystego szkła z szarym korkiem z gumy chlorobutylowej, zamknięta różowym aluminiowym wieczkiem typu flip-off, zawierająca proszek do sporządzania zawiesiny do wstrzykiwań.
jedna ampułko-strzykawka z przezroczystego szkła z nasadką na końcówkę i szarym
bromobutylowym korkiem tłoka z 2 ml rozpuszczalnika.
jeden łącznik fiolki (adapter).
dwie igły Terumo SurGuard®3 do wstrzyknięć domięśniowych: bezpieczna igła 21G UTW 1 cal (0,8 mm x 25 mm) z urządzeniem zabezpieczającym igłę do podawania do mięśnia naramiennego oraz bezpieczna igła 20G TW 2-calowa (0,9 mm x 51 mm) z urządzeniem zabezpieczającym igłę do podawania do mięśnia pośladkowego.
Specjalne środki ostrożności dotyczące usuwania i przygotowania produktu leczniczego
PODMIOT ODPOWIEDZIALNY POSIADAJĄCY POZWOLENIE NA
NUMER POZWOLENIA NA DOPUSZCZENIE DO OBROTU
DATA WYDANIA PIERWSZEGO POZWOLENIA NA DOPUSZCZENIE DO
DATA ZATWIERDZENIA LUB CZĘŚCIOWEJ ZMIANY TEKSTU
Risperidone Teva, 25 mg, proszek i rozpuszczalnik do sporządzania zawiesiny do wstrzykiwań o przedłużonym uwalnianiu
Jedna fiolka zawiera 25 mg rysperydonu.
1 ml sporządzonej zawiesiny zawiera 12,5 mg rysperydonu.
Pełny wykaz substancji pomocniczych, patrz punkt 6.1.
Proszek i rozpuszczalnik do sporządzania zawiesiny do wstrzykiwań o przedłużonym uwalnianiu.
Fiolka z proszkiem:
Biały lub prawie biały, sypki proszek.
Ampułko-strzykawka z rozpuszczalnikiem do rekonstytucji:
Przezroczysty, bezbarwny roztwór wodny, wolny od obcych cząstek.
Po rekonstytucji:
Jednolita mleczna zawiesina bez agregatów i (lub) ciał obcych.
Osmolalność: 240-300 mOsm / kg pH: 7,0 ± 0,5
Risperidone Teva jest wskazany w podtrzymującym leczeniu schizofrenii u pacjentów dorosłych
aktualnie leczonych doustnymi lekami przeciwpsychotycznymi.
Dawkowanie
Dorośli
Dawka początkowa:
Dla większości pacjentów zalecana dawka wynosi 25 mg domięśniowo, co dwa tygodnie. U pacjentów przyjmujących stałą dawkę rysperydonu doustnie, przez dwa tygodnie lub dłużej, należy rozważyć następujący schemat przestawiania. Pacjenci leczeni dawką 4 mg rysperydonu lub mniejszą, podawanego doustnie, powinni otrzymywać 25 mg produktu leczniczego Risperidone Teva, natomiast u pacjentów leczonych większymi dawkami doustnymi, należy rozważyć większą dawkę produktu leczniczego Risperidone Teva – 37,5 mg.
U pacjentów nieprzyjmujących aktualnie rysperydonu doustnie, należy rozważyć zastosowanie wstępnego leczenia rysperydonem doustnie - przed wyborem początkowej dawki domięśniowej. Zalecana dawka początkowa wynosi 25 mg produktu leczniczego Risperidone Teva, co dwa tygodnie. U pacjentów leczonych większymi doustnymi dawkami leków przeciwpsychotycznych należy rozważyć większą dawkę produktu leczniczego Risperidone Teva – 37,5 mg.
Należy zapewnić wystarczająco skuteczną terapię doustną postacią rysperydonu lub poprzednim lekiem przeciwpsychotycznym, w trakcie trzytygodniowego okresu opóźnienia od wykonania pierwszej iniekcji produktu leczniczego Risperidone Teva (patrz punkt 5.2).
Risperidone Teva nie należy stosować w ostrym nasileniu schizofrenii bez zapewnienia wystarczająco skutecznej terapii doustną postacią rysperydonu lub poprzednim lekiem przeciwpsychotycznym, w trakcie trzytygodniowego okresu opóźnienia od wykonania pierwszej iniekcji produktu leczniczego Risperidone Teva.
Dawka podtrzymująca:
Dla większości pacjentów zalecana dawka wynosi 25 mg domięśniowo, co dwa tygodnie. Dla niektórych pacjentów może być korzystne podanie większej dawki: 37,5 mg lub 50 mg. Dawek nie należy zwiększać częściej, niż raz na 4 tygodnie. Wyników zwiększenia dawki należy oczekiwać najwcześniej po trzech tygodniach od podania pierwszej iniekcji zawierającej większą dawkę. W badaniach klinicznych nie zaobserwowano dodatkowych korzyści po podaniu dawki 75 mg. Nie zaleca się stosowania dawek większych niż 50 mg podawanych co dwa tygodnie.
Pacjenci w wieku podeszłym
Nie jest konieczne dostosowywanie dawki. Zalecana dawka wynosi 25 mg domięśniowo, co dwa tygodnie. U pacjentów nieprzyjmujących aktualnie rysperydonu doustnie, zalecana dawka wynosi 25 mg produktu leczniczego Risperidone Teva, co dwa tygodnie. U pacjentów przyjmujących stałą dawkę doustnego rysperydonu przez co najmniej dwa tygodnie należy rozważyć poniższy schemat przestawiania. Pacjenci leczeni dawką 4 mg lub mniejszą doustnego rysperydonu powinni otrzymywać 25 mg produktu leczniczego Risperidone Teva, natomiast u pacjentów leczonych większymi dawkami doustnymi, należy rozważyć większą dawkę produktu leczniczego Risperidone Teva - 37,5 mg.
Należy zapewnić wystarczająco skuteczne leczenie przeciwpsychotyczne w trakcie trzytygodniowego okresu opóźnienia od wykonania pierwszej iniekcji produktu leczniczego Risperidone Teva (patrz punkt 5.2). Dane kliniczne dotyczące stosowania rysperydonu u osób w podeszłym wieku, są ograniczone. Risperidone Teva należy stosować z ostrożnością u osób w podeszłym wieku.
Zaburzenia czynności wątroby i nerek
Nie przeprowadzono badań produktu leczniczego Risperidone Teva u pacjentów z zaburzeniami czynności wątroby lub nerek.
W razie konieczności stosowania produktu leczniczego Risperidone Teva u pacjentów z zaburzeniami czynności wątroby lub nerek, zaleca się podanie doustne rysperydonu w dawce początkowej 0,5 mg dwa razy na dobę w pierwszym tygodniu leczenia. W drugim tygodniu można stosować dawkę 1 mg dwa razy na dobę lub 2 mg raz na dobę. W przypadku, gdy całkowita doustna dawka dobowa, wynosząca co najmniej 2 mg, jest dobrze tolerowana, produkt leczniczy Risperidone Teva można podawać w postaci wstrzyknięć w dawce 25 mg co dwa tygodnie.
Należy zapewnić wystarczająco skuteczne leczenie przeciwpsychotyczne w trakcie trzytygodniowego okresu opóźnienia od wykonania pierwszej iniekcji produktu leczniczego Risperidone Teva (patrz punkt 5.2).
Dzieci i młodzież
Nie określono bezpieczeństwa stosowania ani skuteczności produktu leczniczego Risperidone Teva u
dzieci i młodzieży w wieku poniżej 18 lat. Dane nie są dostępne.
Sposób podawania
Produkt leczniczy Risperidone Teva należy podawać co dwa tygodnie w głębokiej, domięśniowej iniekcji w mięsień naramienny lub pośladek, używając w tym celu odpowiedniej bezpiecznej igły. Do iniekcji w mięsień naramienny należy użyć 1-calowej igły, dokonując wstrzyknięć na zmianę raz w jedno, raz w drugie ramię. Do iniekcji w mięsień pośladkowy należy użyć 2-calowej igły, dokonując wstrzyknięć na zmianę raz w jeden, raz w drugi pośladek. Produktu nie wstrzykiwać dożylnie (patrz punkt 4.4 oraz punkt 6.6).
W celu uzyskania informacji dotyczących przygotowania produktu leczniczego do stosowania, patrz punkt 6.6.
Nadwrażliwość na substancję czynną lub na którąkolwiek substancję pomocniczą wymienioną w
punkcie 6.1.
U pacjentów, którzy nie przyjmowali nigdy wcześniej rysperydonu w żadnej postaci, zaleca się sprawdzenie tolerancji za pomocą doustnej postaci rysperydonu zanim rozpocznie się leczenie produktem leczniczym Risperidone Teva (patrz punkt 4.2).
Pacjenci w podeszłym wieku z otępieniem
Stosowanie produktu leczniczego Risperidone Teva u pacjentów w podeszłym wieku z otępieniem nie było przedmiotem badań, dlatego nie jest on wskazany do stosowania w tej grupie pacjentów. Produkt leczniczy Risperidone Teva nie jest zarejestrowany jako lek, który może być stosowany w leczeniu zaburzeń zachowania związanych z otępieniem.
Zwiększona umieralność u osób w podeszłym wieku z otępieniem
W metaanalizie 17 kontrolowanych badań klinicznych z zastosowaniem atypowych leków przeciwpsychotycznych, w tym również rysperydonu podawanego doustnie, u pacjentów w podeszłym wieku z otępieniem, którzy otrzymywali atypowe leki przeciwpsychotyczne, występowała zwiększona umieralność w porównaniu z grupą otrzymującą placebo. W kontrolowanych placebo badaniach doustnie podawanego rysperydonu, w tej populacji pacjentów umieralność wynosiła 4,0% wśród pacjentów leczonych rysperydonem i 3,1% wśród pacjentów otrzymujących placebo. Iloraz szans przy 95% przedziale ufności wynosił 1,21 (0,7; 2,1). Średni wiek zmarłych pacjentów wynosił 86 lat (w przedziale od 67 do 100 lat). Dane z dwóch dużych badań obserwacyjnych wykazały, że u osób w podeszłym wieku z otępieniem, leczonych konwencjonalnymi lekami przeciwpsychotycznymi, występuje również nieznacznie zwiększone ryzyko zgonu w porównaniu do osób nieleczonych. Brak wystarczających danych, aby podać dokładną ocenę wielkości ryzyka. Nie jest też znana przyczyna zwiększonego ryzyka. Nie wiadomo, w jakim stopniu stwierdzona w badaniach obserwacyjnych zwiększona umieralność, może być przypisywana lekom przeciwpsychotycznym, wobec niektórych cech pacjentów.
Jednoczesne stosowanie z furosemidem
W kontrolowanych placebo badaniach klinicznych doustnych postaci rysperydonu, przeprowadzanych
z udziałem pacjentów w podeszłym wieku z otępieniem, w grupie otrzymującej furosemid
i rysperydon obserwowano występowanie większej umieralności (7,3%; średni wiek pacjentów 89 lat, w przedziale od 75 do 97 lat) w porównaniu do pacjentów leczonych samym rysperydonem (3,1%; średni wiek pacjentów 84 lata, w przedziale od 70 do 96 lat) lub otrzymujących sam furosemid (4,1%; średni wiek pacjentów 80 lat, w przedziale od 67 do 90 lat). Zwiększoną umieralność u pacjentów leczonych furosemidem w skojarzeniu z rysperydonem stwierdzono w dwóch spośród czterech badań klinicznych. Jednoczesne podawanie rysperydonu z innymi diuretykami (głównie tiazydowymi w małych dawkach) nie było związane z podobnymi obserwacjami.
Nie znaleziono dotąd jednoznacznego patofizjologicznego mechanizmu, który mógłby tłumaczyć te obserwacje ani żadnego spójnego wzorca dla przyczyny śmierci. Jednakże, należy zachować szczególną ostrożność i rozważyć ryzyko w stosunku do korzyści przed podjęciem decyzji o jednoczesnym podawaniu tych leków oraz podawaniu rysperydonu jednocześnie z innymi silnymi diuretykami. Zwiększona umieralność nie występuje u pacjentów leczonych równocześnie rysperydonem i innymi diuretykami. Niezależnie od stosowanego leczenia, odwodnienie jest ogólnym czynnikiem ryzyka wpływającym na umieralność i dlatego u pacjentów w podeszłym wieku z otępieniem nie powinno się do niego dopuszczać.
Zdarzenia niepożądane naczyniowo-mózgowe (ang. Cerebrovascular Adverse Events, CVAE)
W randomizowanych badaniach klinicznych z kontrolą placebo, przeprowadzonych u pacjentów z otępieniem, stosujących niektóre atypowe leki przeciwpsychotyczne, stwierdzono około trzykrotne zwiększenie częstości ryzyka zdarzeń niepożądanych naczyniowo-mózgowych. Połączone dane z sześciu kontrolowanych placebo badań rysperydonu, przeprowadzonych na grupach pacjentów, głównie w podeszłym wieku (wiek > 65 lat) z otępieniem wykazały, że zdarzenia niepożądane naczyniowo-mózgowe (ciężkie i nie, łącznie) wystąpiły u 3,3% (33/1009) pacjentów leczonych rysperydonem oraz u 1,2% (8/712) pacjentów, którym podawano placebo. Iloraz szans (przy 95% przedziale ufności) wynosił 2,96 (1,34; 7,50). Mechanizm tego zwiększonego ryzyka nie jest znany. Zwiększone ryzyko nie może być wykluczone dla innych leków przeciwpsychotycznych ani innych populacji. Produkt leczniczy Risperidone Teva należy stosować z ostrożnością u pacjentów
z czynnikami ryzyka udaru mózgu.
Niedociśnienie ortostatyczne
W związku z tym, że rysperydon blokuje receptory alfa, może wystąpić niedociśnienie (niedociśnienie ortostatyczne), zwłaszcza podczas początkowej fazy leczenia. Klinicznie istotne niedociśnienie obserwowano po wprowadzeniu leku do obrotu u pacjentów leczonych rysperydonem i lekami przeciwnadciśnieniowymi. Należy zachować ostrożność podczas stosowania rysperydonu u pacjentów z chorobami układu krążenia (np. niewydolność serca, zawał mięśnia sercowego, zaburzenia przewodzenia, odwodnienie, hipowolemia lub choroby naczyniowo-mózgowe). Należy ocenić ryzyko/korzyści dalszej terapii produktem leczniczym Risperidone Teva gdy istotne klinicznie niedociśnienie się utrzymuje.
Leukopenia, neutropenia i agranulocytoza
Podczas stosowania leków przeciwpsychotycznych, w tym produktu leczniczego Risperidone Teva, stwierdzano wystąpienie leukopenii, neutropenii i agranulocytozy. Agranulocytozę po wprowadzeniu produktu do obrotu zgłaszano bardzo rzadko (< 1/10 000 pacjentów).
Pacjentów z istotną klinicznie leukopenią lub polekową leukopenią/neutropenią w wywiadzie, należy monitorować przez pierwsze kilka miesięcy leczenia. Należy rozważyć zaprzestanie stosowania produktu leczniczego Risperidone Teva przy pierwszym objawie istotnego klinicznie zmniejszenia liczby leukocytów, wobec braku innych czynników przyczynowych.
Pacjentów ze znaczącą klinicznie neutropenią należy uważnie obserwować, czy nie występuje u nich gorączka lub inne objawy przedmiotowe lub podmiotowe infekcji, oraz podjąć natychmiastowe leczenie w razie wystąpienia takich objawów. U pacjentów z ciężką neutropenią (bezwzględna liczba neutrofilów < 1 x 109/l) należy zaprzestać stosowania produktu leczniczego Risperidone Teva i badać liczbę leukocytów do czasu, gdy wynik będzie prawidłowy.
Późne dyskinezy/objawy pozapiramidowe
Działanie leków wykazujących właściwości antagonistyczne w stosunku do receptorów dopaminowych związane jest z występowaniem późnych dyskinez, charakteryzujących się rytmicznymi, mimowolnymi ruchami, zwłaszcza mięśni języka i (lub) mięśni twarzy. Wystąpienie objawów pozapiramidowych jest czynnikiem ryzyka późnych dyskinez. W przypadku wystąpienia objawów przedmiotowych i podmiotowych późnych dyskinez, należy rozważyć przerwanie leczenia wszelkimi lekami przeciwpsychotycznymi.
Należy zachować ostrożność u pacjentów otrzymujących jednocześnie leki psychostymulujące (np. metylofenidat) i rysperydon, gdyż mogą wystąpić objawy pozapiramidowe podczas dostosowywania dawki jednego lub obu leków. Zaleca się stopniowe wycofywanie terapii stymulantem (patrz
punkt 4.5).
Złośliwy zespół neuroleptyczny
Istnieją doniesienia o występowaniu, podczas leczenia lekami przeciwpsychotycznymi, złośliwego zespołu neuroleptycznego, charakteryzującego się: podwyższeniem temperatury ciała, sztywnością mięśni, niestabilnością układu autonomicznego, zaburzeniami świadomości i zwiększeniem aktywności fosfokinazy kreatynowej w surowicy. Dodatkowe objawy mogą obejmować mioglobinurię (rabdomioliza) i ostrą niewydolność nerek. W takim przypadku należy przerwać stosowanie wszystkich leków przeciwpsychotycznych, w tym produktu leczniczego Risperidone Teva.
Choroba Parkinsona i otępienie z obecnością ciał Lewy’ego
W przypadku przepisywania leków przeciwpsychotycznych, w tym produktu leczniczego Risperidone Teva, pacjentom z chorobą Parkinsona lub otępieniem z obecnością ciał Lewy’ego, lekarze powinni rozważyć stosunek ryzyka do korzyści. Rysperydon może zaostrzyć przebieg choroby Parkinsona.
U pacjentów w obu grupach może występować zwiększone ryzyko złośliwego zespołu neuroleptycznego i zwiększona wrażliwość na leki przeciwpsychotyczne. Pacjenci ci zostali wyłączeni z badań klinicznych. Objawy zwiększonej wrażliwości na leki przeciwpsychotyczne mogą obejmować: splątanie, zaburzenie świadomości, niestabilność postawy z częstymi upadkami, które towarzyszą objawom pozapiramidowym.
Reakcje nadwrażliwości
Pomimo, że przed rozpoczęciem leczenia produktem leczniczym Risperidone Teva należy określić tolerancję na rysperydon podawany doustnie, po wprowadzeniu produktu do obrotu raportowano rzadkie reakcje anafilaktyczne u pacjentów, którzy wcześniej tolerowali rysperydon podawany doustnie (patrz punkty 4.2 i 4.8).
W razie wystąpienia reakcji nadwrażliwości, należy przerwać stosowanie produktu leczniczego Risperidone Teva; włączyć w razie potrzeby ogólne środki wspomagające i obserwować pacjenta aż do ustąpienia objawów przedmiotowych i podmiotowych (patrz punkty 4.3 i 4.8).
Hiperglikemia i cukrzyca
Podczas leczenia rysperydonem, stwierdzano wystąpienie hiperglikemii, cukrzycy i zaostrzenie przebiegu wcześniej występującej cukrzycy. W niektórych przypadkach zgłaszano wcześniej
zwiększenie masy ciała, co może być czynnikiem predysponującym. Kwasica ketonowa była zgłaszana bardzo rzadko, a śpiączka cukrzycowa rzadko. Zaleca się prowadzenie odpowiedniej obserwacji klinicznej, zgodnie z wytycznymi terapii przeciwpsychotycznej. U pacjentów leczonych jakimkolwiek atypowym lekiem przeciwpsychotycznym, w tym produktem leczniczym Risperidone Teva, należy obserwować objawy hiperglikemii (takie jak: polidypsja, poliuria, nadmierne łaknienie i osłabienie), a pacjentów z cukrzycą należy regularnie badać, czy nie pogarsza się u nich kontrola glikemii.
Zwiększenie masy ciała
Podczas stosowania rysperydonu stwierdzano przypadki znacznego zwiększenia masy ciała. Należy regularnie kontrolować masę ciała.
Hiperprolaktynemia
Hiperprolaktynemia jest częstym działaniem niepożądanym występującym podczas leczenia produktem leczniczym Risperidone Teva. Zaleca się badanie stężenia prolaktyny w osoczu u pacjentów z działaniami niepożądanymi prawdopodobnie związanymi z prolaktyną (np.: ginekomastia, zaburzenia miesiączkowania, brak owulacji, zaburzenia płodności, zmniejszone libido, zaburzenia wzwodu i mlekotok).
Badania hodowli tkankowych wskazują, że prolaktyna może stymulować wzrost komórek nowotworowych w guzach piersi u ludzi. Pomimo, że nie stwierdzono do tej pory w badaniach klinicznych i epidemiologicznych wyraźnego związku z podawanymi lekami przeciwpsychotycznymi, należy zachować ostrożność u pacjentów z wywiadem w tym kierunku. Risperidone Teva należy stosować z ostrożnością u pacjentów ze stwierdzoną wcześniej hiperprolaktynemią lub guzami prolaktynozależnymi.
Wydłużenie odstępu QT
Wydłużenie odstępu QT było bardzo rzadko zgłaszane po wprowadzeniu produktu do obrotu. Podobnie jak w przypadku innych leków przeciwpsychotycznych, zaleca się ostrożność w przypadku przepisywania rysperydonu pacjentom z chorobami układu krążenia, wywiadem rodzinnym w kierunku wydłużenia odstępu QT, bradykardią lub zaburzeniami elektrolitowymi (niedoborem potasu lub magnezu), ponieważ rysperydon może zwiększać ryzyko wystąpienia działań arytmogennych, a także w przypadku jednoczesnego stosowania rysperydonu z lekami, o których wiadomo, że wydłużają odstęp QT.
Drgawki
Należy zachować ostrożność podczas stosowania produktu leczniczego Risperidone Teva u pacjentów
z drgawkami w wywiadzie lub z innymi stanami, które mogą obniżać próg drgawkowy.
Priapizm
W związku z działaniem blokującym receptor alfa-adrenergiczny, podczas leczenia produktem leczniczym Risperidone Teva może wystąpić priapizm.
Regulacja temperatury ciała
Lekom przeciwpsychotycznym przypisywano właściwość zakłócania zdolności organizmu do obniżania temperatury podstawowej ciała. Zaleca się zachowanie odpowiedniej ostrożności w przypadku przepisywania produktu leczniczego Risperidone Teva pacjentom, u których mogą wystąpić czynniki sprzyjające podwyższeniu podstawowej temperatury ciała, np. wykonujących
intensywny wysiłek fizyczny, narażonych na działanie ekstremalnie wysokich temperatur, przyjmujących jednocześnie leki o działaniu przeciwcholinergicznym lub odwodnionych.
Żylna choroba zakrzepowo-zatorowa
Podczas stosowania leków przeciwpsychotycznych zgłaszano przypadki żylnej choroby zakrzepowo- zatorowej (ang. Venous thromboembolism, VTE). Ze względu na występujące często u pacjentów leczonych lekami przeciwpsychotycznymi, nabyte czynniki ryzyka VTE, przed rozpoczęciem leczenia i podczas leczenia produktem leczniczym Risperidone Teva należy zidentyfikować wszystkie możliwe czynniki ryzyka VTE i podjąć odpowiednie działania zapobiegawcze.
Śródoperacyjny zespół wiotkiej tęczówki
U pacjentów przyjmujących leki o działaniu antagonistycznym na receptory alfa1a-adrenergiczne, w tym produkt leczniczy Risperidone Teva, stwierdzano podczas operacji usunięcia zaćmy śródoperacyjny zespół wiotkiej tęczówki (ang. Intraoperative Floppy Iris Syndrome, IFIS) (patrz punkt 4.8).
Zespół IFIS może zwiększać ryzyko powikłań ocznych w trakcie i po zabiegu. Przed zabiegiem trzeba poinformować wykonującego go okulistę o aktualnym lub wcześniejszym przyjmowaniu leków o działaniu antagonistycznym na receptory alfa1a-adrenergiczne. Nie ustalono możliwych korzyści z odstawienia leków blokujących receptory alfa1 przed zabiegiem usunięcia zaćmy i należy to rozważyć wobec ryzyka przerwania leczenia przeciwpsychotycznego.
Działanie przeciwwymiotne
W badaniach przedklinicznych rysperydonu obserwowano jego działanie przeciwwymiotne.
W przypadku stosowania leku u ludzi, działanie to może maskować objawy przedmiotowe i podmiotowe przedawkowania niektórych leków lub stany, takie jak niedrożność jelit, zespół Reye’a i nowotwór mózgu.
Zaburzenia czynności nerek i wątroby
Przeprowadzono badania nad rysperydonem podawanym doustnie u pacjentów z niewydolnością nerek lub wątroby, jednakże w przypadku produktu leczniczego Risperidone Teva nie wykonywano takich badań, dlatego należy zachować ostrożność podając go pacjentom z tej grupy (patrz punkt 4.2).
Podawanie leku
Należy uważać, aby uniknąć nieumyślnego podania produktu leczniczego Risperidone Teva do
naczynia krwionośnego.
Substancje pomocnicze
Ten produkt leczniczy zawiera mniej niż 1 mmol sodu (23 mg) na dawkę, to znaczy lek uznaje się za
„wolny od sodu”.
Nie prowadzono systematycznych badań interakcji rysperydonu w postaci zawiesiny o przedłużonym uwalnianiu stosowanego w skojarzeniu z innymi lekami. Dane interakcji lekowych przedstawione w tym punkcie opierają się na badaniach dotyczących rysperydonu podawanego doustnie.
Interakcje farmakodynamiczne
Leki, o których wiadomo, że wydłużają odstęp QT
Podobnie jak w przypadku innych leków przeciwpsychotycznych, zalecana jest ostrożność podczas przepisywania rysperydonu jednocześnie z lekami wydłużającymi odstęp QT, takimi jak: leki przeciwarytmiczne (tj. chinidyna, dyzopiramid, prokainamid, propafenon, amiodaron, sotalol), trójpierścieniowe leki przeciwdepresyjne (np. amitryptylina), czteropierścieniowe leki przeciwdepresyjne (np. maprotylina), niektóre leki przeciwhistaminowe, inne leki przeciwpsychotyczne, niektóre leki przeciwmalaryczne (tj. chinina i meflochina) oraz z lekami powodującymi zaburzenia równowagi elektrolitowej (hipokaliemia, hipomagnezemia), bradykardię lub z lekami hamującymi metabolizm wątrobowy rysperydonu. Powyższa lista ma charakter informacyjny i nie jest listą wyczerpującą.
Leki działające ośrodkowo i alkohol
Rysperydon należy stosować z ostrożnością w skojarzeniu z innymi substancjami działającymi ośrodkowo - w szczególności z alkoholem, opioidami, lekami przeciwhistaminowymi oraz benzodiazepinami - ze względu na zwiększone ryzyko sedacji.
Lewodopa i agoniści dopaminy
Risperidone Teva może antagonizować działanie lewodopy i innych agonistów dopaminergicznych. Jeśli to skojarzenie wydaje się konieczne, szczególnie w schyłkowej fazie choroby Parkinsona, należy zastosować najmniejsze skuteczne dawki obu leków.
Leki działające hipotensyjnie
Po wprowadzeniu rysperydonu do obrotu obserwowano istotne klinicznie niedociśnienie po zastosowaniu rysperydonu w skojarzeniu z lekami przeciwnadciśnieniowymi.
Leki psychostymulujące
Jednoczesne stosowanie leków psychostymulujących (np. metylofenidatu) z rysperydonem może prowadzić do wystąpienia objawów pozapiramidowych po zmianie dawkowania jednego lub obu leków (patrz punkt 4.4).
Interakcje farmakokinetyczne
Rysperydon jest metabolizowany głównie z udziałem CYP2D6 i w mniejszym stopniu CYP3A4. Zarówno rysperydon, jak i jego czynny metabolit 9-hydroksyrysperydon, są substratami glikoproteiny P (P-gp). Substancje modyfikujące aktywność CYP2D6 lub substancje silnie hamujące lub indukujące aktywność CYP3A4 i (lub) P-gp, mogą wpływać na farmakokinetykę czynnej frakcji przeciwpsychotycznej rysperydonu.
Silne inhibitory CYP2D6
Jednoczesne stosowanie produktu leczniczego Risperidone Teva z silnym inhibitorem CYP2D6 może prowadzić do zwiększenia w osoczu stężenia rysperydonu, a w mniejszym stopniu czynnej frakcji przeciwpsychotycznej. Większe dawki silnego inhibitora CYP2D6 mogą zwiększać stężenie czynnej frakcji przeciwpsychotycznej rysperydonu (np. paroksetyna, patrz niżej). Oczekuje się, że inne inhibitory CYP2D6, takie jak chinidyna, mogą podobnie wpływać na stężenie rysperydonu. Należy ponownie ocenić dawkowanie produktu leczniczego Risperidone Teva podczas rozpoczynania lub kończenia jednoczesnego podawania paroksetyny, chinidyny czy innego silnego inhibitora CYP2D6, szczególnie w większych dawkach.
Inhibitory CYP3A4 i (lub) P-gp
Jednoczesne podawanie produktu leczniczego Risperidone Teva z silnym inhibitorem CYP3A4 i (lub) P-gp może znacząco zwiększyć stężenie czynnej frakcji przeciwpsychotycznej rysperydonu w osoczu. Należy ponownie ocenić dawkowanie produktu leczniczego Risperidone Teva podczas rozpoczynania lub kończenia jednoczesnego podawania itrakonazolu czy innego silnego inhibitora CYP3A4 i (lub)
P-gp.
Induktory CYP3A4 i (lub) P-gp
Jednoczesne podawanie produktu leczniczego Risperidone Teva z silnym induktorem CYP3A4 i (lub) P-gp może zmniejszyć stężenie czynnej frakcji przeciwpsychotycznej rysperydonu w osoczu. Należy ponownie ocenić dawkowanie produktu leczniczego Risperidone Teva podczas rozpoczynania lub kończenia jednoczesnego podawania karbamazepiny czy innego silnego induktora CYP3A4 i (lub)
P-gp. Induktory CYP3A4 wykazują maksymalne działanie w zależności od czasu - ich maksymalne działanie może wystąpić co najmniej po 2 tygodniach po rozpoczęciu podawania. Podobnie, w razie zaprzestania ich stosowania, indukcja CYP3A4 może nie ustępować przynajmniej przez 2 tygodnie.
Leki silnie wiążące się z białkami
Nie stwierdza się istotnego klinicznie wypierania leków z białek osocza, gdy produkt leczniczy
Risperidone Teva przyjmuje się jednocześnie z lekami silnie wiążącymi się z białkami.
W razie skojarzonego stosowania leków, należy zapoznać się z charakterystykami odpowiednich produktów leczniczych, w celu poznania szlaków metabolizmu i możliwej konieczności dostosowania dawki.
Dzieci i młodzież
Badania dotyczące interakcji przeprowadzono wyłącznie u dorosłych. Nie wiadomo, czy wyniki tych badań mają znaczenie u dzieci i młodzieży.
Przykłady
Poniżej wymieniono przykłady leków, które potencjalnie mogą wykazywać lub nie wykazują
interakcji z rysperydonem:
Wpływ innych produktów leczniczych na farmakokinetykę rysperydonu
Antybiotyki:
Jednoczesne stosowanie rysperydonu z furosemidem
Informacje dotyczące zwiększonej śmiertelności pacjentów w podeszłym wieku z otępieniem, jednocześnie otrzymujących furosemid - patrz punkt 4.4.
Ciąża
Brak wystarczających danych dotyczących stosowania rysperydonu u kobiet w okresie ciąży. W badaniach na zwierzętach nie stwierdzono działania teratogennego rysperydonu, lecz stwierdzano innego rodzaju toksyczny wpływ na reprodukcję (patrz punkt 5.3). Potencjalne zagrożenie dla człowieka nie jest znane.
Noworodki, które były narażone na działanie leków przeciwpsychotycznych (w tym Risperidone Teva) podczas trzeciego trymestru ciąży, są w grupie ryzyka działań niepożądanych, w tym zaburzeń pozapiramidowych i (lub) objawów odstawienia o różnym nasileniu i czasie trwania po porodzie.
Obserwowano pobudzenie, wzmożone napięcie, obniżone napięcie, drżenie, senność, zespół zaburzeń oddechowych lub zaburzenia związane z karmieniem. W związku z powyższym noworodki powinny być uważnie monitorowane.
Produktu leczniczego Risperidone Teva nie należy stosować w okresie ciąży, jeśli nie jest to bezwzględnie konieczne.
Karmienie piersią
W badaniach przeprowadzanych na zwierzętach stwierdzono przenikanie rysperydonu
i 9-hydroksyrysperydonu do mleka. Wykazano również, że rysperydon i 9-hydroksyrysperydon także przenikają w małych ilościach do mleka kobiet karmiących piersią. Brak danych dotyczących działań
niepożądanych występujących u niemowląt karmionych piersią. Dlatego należy rozważyć stosunek korzyści z karmienia piersią do potencjalnego ryzyka dla dziecka.
Płodność
Jak w przypadku innych leków będących antagonistami receptorów D2 dopaminy, Risperidone Teva zwiększa stężenie prolaktyny. Hiperprolaktynemia może hamować wytwarzanie GnRH w podwzgórzu, co powoduje zmniejszenie wydzielania gonadotropin w przysadce. To z kolei, na skutek zaburzeń steroidogenezy w gonadach, może hamować czynności rozrodcze zarówno u kobiet, jak
i u mężczyzn.
Nie stwierdzono takich działań w badaniach nieklinicznych.
Risperidone Teva wywiera niewielki lub umiarkowany wpływ na zdolność prowadzenia pojazdów i obsługiwania maszyn, ze względu na potencjalne oddziaływanie na układ nerwowy i zaburzenia widzenia (patrz punkt 4.8). Dlatego pacjentom należy doradzać powstrzymanie się od prowadzenia pojazdów lub obsługiwania maszyn do czasu poznania ich indywidualnej wrażliwości na lek.
Najczęściej zgłaszane działania niepożądane (częstość ≥ 1/10) to: bezsenność, lęk, ból głowy, infekcje
górnych dróg oddechowych, parkinsonizm i depresja.
Występujące działania niepożądane, zależne od dawki, obejmowały parkinsonizm i akatyzję.
Po wprowadzeniu produktu na rynek odnotowano ciężkie reakcje w miejscu wstrzyknięcia, w tym martwicę w miejscu wstrzyknięcia, ropień, zapalenie tkanki łącznej, wrzód, krwiak, torbiel i guzek. Częstość ich występowania jest nieznana (nie może być oszacowana na podstawie dostępnych danych). Pojedyncze przypadki wymagały interwencji chirurgicznej.
Poniżej podano wszystkie działania niepożądane zgłoszone w trakcie badań klinicznych i po wprowadzeniu produktu do obrotu, z częstością występowania ustaloną na podstawie badań klinicznych rysperydonu. Zastosowano następujące określenia odnoszące się do częstości występowania: bardzo często (≥ 1/10), często (≥ 1/100 do < 1/10), niezbyt często (≥ 1/1000 do
< 1/100), rzadko (≥ 1/10 000 do < 1/1000) i bardzo rzadko (< 1/10 000) i częstość nieznana (częstość nie może być określona na podstawie dostępnych danych).
W obrębie każdej grupy o określonej częstości występowania, objawy niepożądane są wymienione
zgodnie ze zmniejszającym się nasileniem.
Klasyfikacj a układów i narządów | Działanie niepożądane | |||||
Częstość | ||||||
Bardzo często | Często | Niezbyt często | Rzadko | Bardzo rzadko | Nieznana | |
Zakażenia i zarażenia pasożytnicz e | zakażenie górnych dróg oddechowych | zapalenie płuc, zapalenie oskrzeli, zapalenie zatok, zakażenie dróg moczowych, grypa | zakażenie dróg oddechowych, zapalenie pęcherza moczowego, zakażenie ucha, | |||
zakażenie oka, zapalenie migdałków, grzybica paznokci, zapalenie tkanki łącznej, zakażenie, zakażenie miejscowe, zakażenie wirusowe, akaroza skórna, ropień podskórny | ||||||
Zaburzenia krwi i układu chłonnego | niedokrwistość | leukopenia, trombocytopenia, zmniejszenie wartości hematokrytu, | agranulocyt ozac, neutropenia , zwiększeni e liczby eozynofili | |||
Zaburzenia układu immunolog icznego | nadwrażliwość | reakcja anafilaktyc znac | ||||
Zaburzenia endokrynol ogiczne | hiperprolaktynemiaa | obecność glukozy w moczu | nieprawidło we wydzielani e hormonu antydiurety cznego | |||
Zaburzenia metaboliz mu i odżywiania | hiperglikemia, zwiększenie masy ciała, zwiększenie apetytu, zmniejszenie masy ciała, zmniejszenie apetytu | cukrzycab, jadłowstręt, zwiększenie stężenia trójglicerydów we krwi, zwiększenie stężenia cholesterolu we krwi | zatrucie wodnec, hipoglikem ia, hiperinsulin emiac, polidypsja, | cukrzyco wa kwasica ketonowa | ||
Zaburzenia psychiczne | bezsennośćd, depresja, lęk | zaburzenia snu, pobudzenie, zmniejszone libido | mania, stan splątania, anorgazmia, nerwowość, koszmary senne | katatonia, somnambul izm, zaburzenia odżywiania związane ze snem, przytępiony afekt | ||
Zaburzenia układu nerwowego | parkinsonizmd, ból głowy | sedacja/senność, akatyzjad, dystoniad, zawroty głowy, dyskinezad, drżenie | dyskineza późna, niedokrwienie mózgu, utrata świadomości, napady | złośliwy zespół neuroleptyc zny, zaburzenia |
drgawkowed, omdlenie, nadpobudliwość psychomotoryczn a, zaburzenia równowagi, nieprawidłowa koordynacja, zawroty głowy zależne od postawy ciała, zaburzenia koncentracji, dyzartria, zaburzenia smaku, niedoczulica, parestezje | naczyniow o- mózgowe, brak reakcji na bodźce, zmniejszon y poziom świadomoś ci, śpiączka cukrzycow a, kiwanie głową | |||||
Zaburzenia oka | niewyraźne widzenie | zapalenie spojówek, suche oko, zwiększone łzawienie, przekrwienie oczu | zamknięcie tętnicy siatkówki, jaskra, zaburzenia ruchu gałek ocznych, rotacyjne ruchy gałek ocznych, światłowstr ęt, owrzodzeni a brzegów powiek, zespół wiotkiej tęczówki (śródoperac yjny)c | |||
Zaburzenia ucha i błędnika | zawroty głowy, szum w uszach, ból ucha | |||||
Zaburzenia serca | tachykardia | migotanie przedsionków, blok przedsionkowo- komorowy, zaburzenia przewodzenia, wydłużenie odstępu QT w EKG, bradykardia, nieprawidłowy | niemiarowo ść zatokowa |
zapis EKG, kołatanie serca | ||||||
Zaburzenia naczyniowe | niedociśnienie, nadciśnienie | niedociśnienie ortostatyczne | zatorowość płucna, zakrzepica żylna, napady zaczerwieni enia | |||
Zaburzenia układu oddechoweg o, klatki piersiowej i śródpiersia | duszność, ból gardła i krtani, kaszel, przekrwienie błony śluzowej nosa | hiperwentylacja, przekrwienie dróg oddechowych, świszczący oddech, krwawienie z nosa | zespół bezdechu sennego, zachłystow e zapalenie płuc, przekrwieni e płuc, rzężenie, dysfonia, zaburzenia oddechowe | |||
Zaburzenia żołądka i jelit | ból w jamie brzusznej, uczucie dyskomfortu w jamie brzusznej, wymioty, nudności, zaparcia, zapalenie żołądka i jelit, biegunka, niestrawność, suchość w jamie ustnej, ból zęba | nietrzymanie stolca, dysfagia, wzdęcia | zapalenie trzustki, niedrożnoś ć jelit, obrzęk języka, kamienie kałowe, zapalenie warg | ileus | ||
Zaburzenia skóry i tkanki podskórnej | wysypka | świąd, łysienie, wyprysk, sucha skóra, rumień, odbarwienie skóry, trądzik, łojotokowe zapalenie skóry | polekowe wykwity skórne, pokrzywka, hiperkerato za, łupież, zaburzenia skóry, uszkodzeni e skóry | obrzęk naczynior uchowy | Zespół Stevensa Johnsona / toksyczna nekroliza naskórka | |
Zaburzenia mięśniowo- szkieletowe i tkanki łącznej | skurcze mięśni, ból mięśniowo- szkieletowy, ból pleców, ból stawów | zwiększone stężenie kinazy fosfokreatynowej we krwi, zesztywnienie stawów, obrzęk stawów, osłabienie mięśni, ból szyi | rabdomioli za, nieprawidło wa postawa ciała, | |||
Zaburzenia nerek i dróg moczowych | nietrzymanie moczu | częstomocz, zastój moczu, dyzuria |
Ciąża, połóg i okres okołoporodo wy | noworodko wy zespół odstawienia c | |||||
Zaburzenia układu rozrodczego i piersi | zaburzenia erekcji, brak miesiączki, mlekotok | zaburzenia ejakulacji, opóźnione miesiączkowanie, zaburzenia miesiączkowaniad , ginekomastia, zaburzenia funkcji seksualnych, ból piersi, dyskomfort piersi, wydzielina z pochwy | priapizmc, obrzęk piersi, powiększen ie piersi, wydzielina z piersi | |||
Zaburzenia ogólne i stany w miejscu podania | obrzękd, gorączka, ból w klatce piersiowej, osłabienie (astenia), zmęczenie, ból, reakcja w miejscu wstrzyknięcia | obrzęk twarzy, dreszcze, zwiększenie temperatury ciała, nieprawidłowy sposób chodzenia, pragnienie, dyskomfort w klatce piersiowej, złe samopoczucie, dziwne samopoczucie, stwardnieniec | hipotermia, zmniejszeni e temperatur y ciała, ochłodzeni e obwodowy ch części ciała, zespół odstawienia leku, uczucie dyskomfort u | |||
Zaburzenia wątroby i dróg żółciowych | zwiększenie aktywności aminotransferaz, zwiększenie aktywności gamma- glutamylotransferazy | zwiększenie aktywności enzymów wątrobowych | żółtaczka | |||
Urazy, zatrucia i powikłania po zabiegach | upadek | ból związany z procedurami medycznymi |
a Hiperprolaktynemia może w niektórych przypadkach prowadzić do ginekomastii, zaburzeń menstruacji, braku miesiączki, braku owulacji, mlekotoku, zaburzeń płodności, zmniejszonego libido, zaburzeń wzwodu.
b W badaniach z kontrolą placebo cukrzycę zgłaszano u 0,18% osób leczonych rysperydonem w porównaniu do 0,11% w grupie placebo. Całkowita częstość występowania cukrzycy we wszystkich badaniach klinicznych wyniosła 0,43% u wszystkich osób leczonych rysperydonem.
c Nie stwierdzono w badaniach klinicznych rysperydonu, lecz stwierdzano po wprowadzeniu rysperydonu do obrotu.
d Zespół pozapiramidowy może się objawiać: parkinsonizmem (zwiększone wydzielanie śliny, sztywność mięśni szkieletowych, parkinsonizm, ślinienie się, objaw koła zębatego w parkinsonizmie, bradykinezja, hipokinezja, maskowaty
wyraz twarzy, napięcie mięśni, akineza, sztywność karku, sztywność mięśni, chód parkinsonowski i nieprawidłowy odruch z gładzizny czoła, parkinsonowskie drżenie spoczynkowe), akatyzją (akatyzja, niepokój ruchowy, hiperkinezja i zespół niespokojnych nóg), drżeniem, dyskinezą (dyskineza, drganie mięśni, choreoatetoza, atetoza i drgawki kloniczne mięśni), dystonią. Dystonia obejmuje tu dystonię, zwiększone napięcie mięśni, kręcz szyi, mimowolne skurcze mięśni, przykurcz mięśni, kurcz powiek, rotacyjne ruchy gałki ocznej, porażenie języka, skurcze mięśni twarzy, skurcz krtani, miotonię, opistotonus, skurcz mięśni ust i gardła, pleurototonus, skurcz języka oraz szczękościsk. Należy zauważyć, że wymieniono szeroki zakres objawów, które niekoniecznie muszą mieć podłoże pozapiramidowe. Bezsenność obejmuje: trudności z zasypianiem, bezsenność śródnocną. Napady drgawkowe obejmują: uogólniony napad toniczno-kloniczny. Zaburzenia miesiączkowania obejmują: nieregularne miesiączkowanie, skąpe miesiączkowanie. Obrzęk obejmuje: obrzęk uogólniony, obrzęk obwodowy, obrzęk ciastowaty.
Działania niepożądane stwierdzone podczas stosowania postaci farmaceutycznych paliperydonu.
Paliperydon jest czynnym metabolitem rysperydonu, dlatego profile działań niepożądanych tych substancji (w tym zarówno postaci doustnych, jak i postaci do wstrzyknięć) odpowiadają sobie wzajemnie. Oprócz wyżej wymienionych działań niepożądanych, podczas stosowania produktów paliperydonu stwierdzono wymienione poniżej działania niepożądane, które mogą wystąpić podczas stosowania produktu leczniczego Risperidone Teva.
Zaburzenia serca
Zespół posturalnej tachykardii ortostatycznej Reakcja anafilaktyczna
Po wprowadzeniu do obrotu, rzadko zgłaszano przypadki reakcji anafilaktycznej po wstrzyknięciu produktu leczniczego Risperidone Teva u pacjentów, którzy wcześniej tolerowali rysperydon podawany doustnie (patrz punkt 4.4).
Oddziaływania związane z grupą leków
Podobnie jak w przypadku innych leków przeciwpsychotycznych, stwierdzano bardzo rzadkie przypadki wydłużenia odstępu QT po wprowadzeniu rysperydonu do obrotu. Innymi, związanymi z klasą, oddziaływaniami na serce opisywanymi dla leków przeciwpsychotycznych, w przypadku których występuje wydłużenie odcinka QT, są: arytmia komorowa, migotanie komór, tachykardia komorowa, nagła śmierć, zatrzymanie akcji serca i częstoskurcz komorowy typu torsade de pointes.
Żylna choroba zakrzepowo-zatorowa
Podczas leczenia lekami przeciwpsychotycznymi zgłaszano przypadki żylnej choroby zakrzepowo- zatorowej, w tym zatorowość płucną i zakrzepicę żył głębokich (częstość nieznana).
Zwiększenie masy ciała
W trwającym 12 tygodni badaniu metodą podwójnie ślepej próby z kontrolą placebo, u 9% pacjentów otrzymujących rysperydon w porównaniu z 6% pacjentów otrzymujących placebo, zaobserwowano na końcu badania zwiększenie masy ciała o ≥ 7%. W trwającym przez 1 rok badaniu otwartym rysperydonu, zmiany masy ciała u poszczególnych pacjentów wynosiły zazwyczaj ± 7% w porównaniu ze stanem przed rozpoczęciem badania. U 25% pacjentów zaobserwowano ≥ 7% zwiększenie masy ciała.
Zgłaszanie podejrzewanych działań niepożądanych
Po dopuszczeniu produktu leczniczego do obrotu istotne jest zgłaszanie podejrzewanych działań niepożądanych. Umożliwia to nieprzerwane monitorowanie stosunku korzyści do ryzyka stosowania produktu leczniczego. Osoby należące do fachowego personelu medycznego powinny zgłaszać wszelkie podejrzewane działania niepożądane za pośrednictwem Departamentu Monitorowania
Niepożądanych Działań Produktów Leczniczych Urzędu Rejestracji Produktów Leczniczych,
Wyrobów Medycznych i Produktów Biobójczych:
Aleje Jerozolimskie 181C 02-222 Warszawa
Tel.: + 48 22 49 21 301
Faks: + 48 22 49 21 309
Strona internetowa: https://smz.ezdrowie.gov.pl
Działania niepożądane można zgłaszać również podmiotowi odpowiedzialnemu.
Ponieważ przedawkowanie postaci pozajelitowej produktu leczniczego jest mniej prawdopodobne niż w przypadku przyjmowania jego postaci doustnej, poniżej przedstawiono informacje dotyczące postaci doustnej.
Objawy
Opisywane objawy przedmiotowe i podmiotowe wynikały z nasilenia wyników farmakologicznego działania rysperydonu. Były to: senność i sedacja, tachykardia i niedociśnienie oraz objawy pozapiramidowe. Po przedawkowaniu odnotowano przypadki wydłużenia odstępu QT i drgawek. Częstoskurcz komorowy typu torsade de pointes stwierdzano w związku z jednoczesnym przedawkowaniem rysperydonu podawanego doustnie i paroksetyny.
W przypadku ostrego przedawkowania, należy zawsze brać pod uwagę możliwość zatrucia wieloma lekami jednocześnie.
Leczenie
Należy uzyskać i utrzymać drożność dróg oddechowych oraz zapewnić odpowiednią podaż tlenu i wentylację. Należy natychmiast rozpocząć kontrolowanie czynności układu krążenia z ciągłym zapisem elektrokardiograficznym, w celu wykrycia ewentualnych zaburzeń rytmu.
Nie ma swoistego antidotum na rysperydon, dlatego należy wdrożyć odpowiednie leczenie podtrzymujące. Niedociśnienie i zapaść krążeniową należy leczyć odpowiednimi środkami, takimi jak dożylnie podawane płyny i (lub) leki sympatykomimetyczne. W razie wystąpienia ciężkich objawów pozapiramidowych należy wdrożyć leczenie antycholinergiczne. Należy dokładnie obserwować pacjenta i monitorować parametry życiowe do czasu ustąpienia objawów zatrucia.
Grupa farmakoterapeutyczna: Inne leki przeciwpsychotyczne, kod ATC: N05AX08.
Mechanizm działania
Rysperydon jest wybiórczym antagonistą monoaminergicznym o unikatowych właściwościach. Charakteryzuje się dużym powinowactwem do receptorów serotoninergicznych 5-HT2 i dopaminergicznych D2. Rysperydon wiąże się również z receptorami alfa-1-adrenergicznymi i, z mniejszym powinowactwem, z receptorami histaminergicznymi H1 i receptorami α-2- adrenergicznymi. Rysperydon nie wykazuje powinowactwa do receptorów cholinergicznych. Chociaż rysperydon jest silnym antagonistą receptorów dopaminergicznych D2, co wiąże się z korzystnym wpływem na wytwórcze objawy schizofrenii, w mniejszym stopniu ogranicza aktywność motoryczną i wywołuje katalepsję niż klasyczne neuroleptyki. Zrównoważone ośrodkowe działanie antagonistyczne na receptory serotoninergiczne i dopaminergiczne może zmniejszyć prawdopodobieństwo wystąpienia
pozapiramidowych działań niepożądanych i rozszerzyć oddziaływanie terapeutyczne na objawy negatywne i zaburzenia afektywne występujące w przebiegu schizofrenii.
Skuteczność kliniczna
Skuteczność rysperydonu w postaci zawiesiny o przedłużonym uwalnianiu (25 mg i 50 mg) w leczeniu objawów zaburzeń psychotycznych (schizofrenii lub zaburzeń schizoafektywnych) określono w próbie klinicznej z okresem obserwacji wynoszącym 12 tygodni, z grupą kontrolną placebo, z udziałem dorosłych pacjentów z psychozą, leczonych w szpitalu i ambulatoryjnie, którzy spełniali kryteria rozpoznania schizofrenii według DSM-IV.
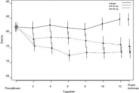
W trwającym 12 tygodni badaniu porównawczym, z udziałem pacjentów ze schizofrenią o stabilnym przebiegu, wykazano równą skuteczność rysperydonu w postaci zawiesiny o przedłużonym uwalnianiu oraz rysperydonu w postaci tabletek doustnych. Skuteczność i bezpieczeństwo długotrwałego stosowania (50 tygodni) rysperydonu w postaci zawiesiny o przedłużonym uwalnianiu określono także w badaniu otwartym z udziałem pacjentów z psychozą o stabilnym przebiegu, leczonych w szpitalu i ambulatoryjnie, którzy spełniali kryteria rozpoznania schizofrenii lub zaburzeń schizoafektywnych według DSM-IV. Podczas długotrwałego stosowania rysperydonu w postaci zawiesiny o przedłużonym uwalnianiu skuteczność się utrzymywała (Rycina 1).
Rycina 1. Średni wynik całkowitej punktacji w Skali Objawów Pozytywnych i Negatywnych (ang. Possitive and Negative Syndrome Scale, PANSS) w czasie, u pacjentów ze schizofrenią, wyznaczony metodą ekstrapolacji ostatniej obserwacji (ang. Last Observation Carried Forward, LOCF).

Wchłanianie
Wchłanianie rysperydonu z zawiesiny o przedłużonym uwalnianiu jest całkowite.
Po wstrzyknięciu domięśniowym pojedynczej dawki rysperydonu w postaci zawiesiny o przedłużonym uwalnianiu, profil uwalniania leku składa się z początkowego uwolnienia małej dawki leku (< 1% dawki), potem następuje okres latencji trwający 3 tygodnie. Główne uwalnianie rysperydonu zaczyna się po 3 tygodniach, trwa od 4. do 6. tygodnia i kończy się w 7. tygodniu.
Dlatego też, w okresie pierwszych 3 tygodni stosowania rysperydonu w postaci zawiesiny o
przedłużonym uwalnianiu, należy podawać uzupełniające leki przeciwpsychotyczne w postaci
doustnej (patrz punkt 4.2).
Uzależnienie schematu dawkowania (wstrzyknięcie domięśniowe, co dwa tygodnie) od profilu uwalniania zapewnia utrzymywanie się stężenia terapeutycznego leku w osoczu od 4 do 6 tygodni od ostatniego wstrzyknięcia rysperydonu w postaci zawiesiny o przedłużonym uwalnianiu.
Po wielokrotnych domięśniowych wstrzyknięciach rysperydonu w postaci zawiesiny o przedłużonym uwalnianiu w dawce 25 mg lub 50 mg co dwa tygodnie, mediana minimalnego stężenia przed podaniem kolejnej dawki oraz stężenia maksymalnego czynnej frakcji przeciwpsychotycznej leku wahała się, odpowiednio, w zakresie 9,9–19,2 ng/ml oraz 17,9–45,5 ng/ml. Nie obserwowano kumulacji rysperydonu podczas długotrwałego stosowania leku (12 miesięcy) u pacjentów, którym podawano lek w postaci wstrzyknięć w dawce od 25 mg do 50 mg co dwa tygodnie.
W powyżej opisanych badaniach podawano lek we wstrzyknięciach do mięśnia pośladkowego. Wstrzyknięcia leku w tych samych dawkach do mięśni naramiennego i pośladkowego są biorównoważne i w związku z tym mogą być stosowane zamiennie.
Dystrybucja
Dystrybucja rysperydonu przebiega szybko. Objętość dystrybucji wynosi 1–2 l/kg mc. W osoczu rysperydon wiąże się z albuminami i kwaśną glikoproteiną alfa 1. Rysperydon w osoczu jest związany z białkami w 90%, a 9-hydroksyrysperydon w 77%.
Metabolizm i eliminacja
Rysperydon jest metabolizowany przez cytochrom CYP2D6 do 9-hydroksyrysperydonu, który ma
podobne właściwości farmakologiczne do właściwości rysperydonu. Rysperydon i
9-hydroksyrysperydon tworzą aktywną frakcję przeciwpsychotyczną. CYP2D6 podlega polimorfizmowi genetycznemu. Osoby intensywnie metabolizujące z udziałem CYP2D6 zamieniają szybko rysperydon na 9-hydroksyrysperydon, podczas gdy osoby słabo metabolizujące z udziałem CYP2D6 zamieniają go znacznie wolniej. Chociaż u osób intensywnie metabolizujących jest mniejsze stężenie rysperydonu, a większe stężenie 9-hydroksyrysperydonu niż u osób słabo metabolizujących, to farmakokinetyki rysperydonu i 9-hydroksyrysperydonu łącznie (tzw. aktywna frakcja przeciwpsychotyczna), po podaniu dawki pojedynczej i dawek wielokrotnych, są podobne u osób intensywnie i słabo metabolizujących z udziałem CYP2D6.
Inną ścieżką metaboliczną rysperydonu jest N-dealkilacja. Badania in vitro przeprowadzone na ludzkich mikrosomach wątrobowych wykazały, że rysperydon, w klinicznie istotnych stężeniach, nie hamuje znacząco metabolizmu leków ulegających przemianom katalizowanym przez izoenzymy cytochromu P450, w tym CYP1A2, CYP2A6, CYP2C8/9/10, CYP2D6, CYP2E1, CYP3A4 i
CYP3A5. W okresie tygodnia od chwili podania doustnego, 70% dawki jest wydalane z moczem, a 14% z kałem. W moczu, rysperydon oraz 9-hydroksyrysperydon stanowi 35-45% dawki podanej doustnie. Pozostała część to niewykazujące aktywności metabolity. Faza eliminacji kończy się około 7 do 8 tygodni po ostatnim wstrzyknięciu rysperydonu w postaci zawiesiny o przedłużonym uwalnianiu.
Liniowość
Właściwości farmakokinetyczne rysperydonu charakteryzują się liniowością w zakresie dawek 25 mg- 50 mg, wstrzykiwanych co 2 tygodnie.
Osoby w podeszłym wieku, osoby z zaburzeniami czynności wątroby lub nerek
Badania farmakokinetyki, dotyczące jednorazowej dawki rysperydonu podanego doustnie, wykazały większe stężenia w osoczu o średnio 43%, dłuższy okres półtrwania o 38% i zmniejszenie o 30% klirensu czynnej frakcji przeciwpsychotycznej u pacjentów w podeszłym wieku.
U dorosłych z umiarkowanymi zaburzeniami czynności nerek, klirens czynnej frakcji przeciwpsychotycznej wynosił około 48% klirensu u młodych zdrowych dorosłych osób (zakres wieku 25-35 lat). U dorosłych z ciężkimi zaburzeniami czynności nerek, klirens czynnej frakcji przeciwpsychotycznej wynosił około 31% klirensu u młodych zdrowych dorosłych osób. Okres półtrwania czynnej frakcji przeciwpsychotycznej wynosił 16,7 godzin u młodych dorosłych, 24,9 godzin u dorosłych z umiarkowanymi zaburzeniami czynności nerek (lub był około 1,5 razy dłuższy niż u młodych dorosłych) oraz 28,8 godzin u osób z ciężkimi zaburzeniami czynności nerek (lub był około 1,7 razy dłuższy niż u młodych dorosłych). Stężenie rysperydonu w osoczu u pacjentów z niewydolnością wątroby było prawidłowe, jednak średnie stężenie wolnej frakcji rysperydonu w osoczu zwiększyło się u tych pacjentów o 37,1%.
Klirens i okres półtrwania w fazie eliminacji podanego doustnie rysperydonu i czynnej frakcji przeciwpsychotycznej u dorosłych z umiarkowanymi i ciężkimi zaburzeniami czynności wątroby nie różniły się znacząco od analogicznych parametrów u młodych zdrowych dorosłych osób.
Zależności farmakokinetyczno-farmakodynamiczne
Nie stwierdzono związku między stężeniami aktywnej frakcji przeciwpsychotycznej w osoczu,
a zmianami całkowitej punktacji skali PANSS (ang. Positive and Negative Syndrome Scale) oraz całkowitej punktacji skali ESRS (ang. Extrapyramidal Symptom Rating Scale), obserwowanymi podczas kolejnych wizyt w badaniach III fazy, których celem było określenie skuteczności
i bezpieczeństwa stosowania leku. Płeć, rasa i palenie tytoniu
Analiza farmakokinetyki w populacji nie wskazuje na widoczny wpływ płci, rasy lub nawyku palenia tytoniu na farmakokinetykę rysperydonu lub aktywnej frakcji przeciwpsychotycznej.
Podobnie jak w badaniach dotyczących długotrwałego działania toksycznego doustnych produktów zawierających rysperydon, przeprowadzonych na szczurach i psach, głównymi objawami działania rysperydonu w postaci zawiesiny o przedłużonym uwalnianiu (podawanego domięśniowo przez okres do 12 miesięcy) było indukowane prolaktyną pobudzenie gruczołów sutkowych, zmiany w układzie rozrodczym u samców i samic oraz zaburzenia ze strony ośrodkowego układu nerwowego, związane z aktywnością farmakodynamiczną rysperydonu. W badaniach toksykologicznych, przeprowadzanych na młodych szczurach, którym podawano doustny rysperydon, stwierdzano zwiększoną śmiertelność i opóźnienie rozwoju u ich potomstwa. W 40-tygodniowym badaniu, z zastosowaniem doustnego rysperydonu, wystąpiło opóźnienie dojrzewania płciowego u młodych psów. Na podstawie pola pod krzywą (AUC) nie stwierdzono zaburzenia wzrostu kości długich u psów przy narażeniu 3,6 razy większym od maksymalnej ekspozycji u młodzieży (1,5 mg/dobę), natomiast u młodzieży, w przypadku ekspozycji 15 razy większej od maksymalnej ekspozycji na lek, zaobserwowano wpływ na kości długie i dojrzewanie płciowe.
Rysperydon nie wykazywał działania teratogennego u szczurów ani u królików. W badaniach nad rozmnażaniem u szczurów pod wpływem rysperydonu, działania niepożądane dotyczyły zachowań rodziców podczas kojarzenia się oraz masy urodzeniowej i przeżywalności potomstwa. U szczurów, ekspozycja na rysperydon w okresie płodowym wiązała się z deficytami funkcji poznawczych u zwierząt dorosłych. Inne środki będące antagonistami dopaminy, podane ciężarnym zwierzętom, negatywnie oddziaływały na uczenie się i rozwój ruchowy potomstwa.
Podawanie rysperydonu w postaci zawiesiny o przedłużonym uwalnianiu samcom i samicom szczurów przez 12 i 24 miesięcy, w dawce 40 mg/kg mc./2 tygodnie, spowodowało wystąpienie osteodystrofii. Dawka produktu powodująca osteodystrofię u szczurów, w przeliczeniu na mg/m2 powierzchni ciała, była ośmiokrotnie większa od maksymalnej dawki zalecanej u ludzi i wiązała się z dwukrotnie większym stężeniem rysperydonu w osoczu w porównaniu do maksymalnego stężenia w osoczu u ludzi, które jest przewidywane po podaniu maksymalnej zalecanej dawki produktu. Nie zaobserwowano osteodystrofii u psów, u których przez 12 miesięcy stosowano rysperydon we wstrzyknięciach w dawce do 20 mg/kg mc./2 tygodnie. Podanie tej dawki wiązało się z osiągnięciem stężenia leku w osoczu, które było 14-krotnie większe od stężenia u ludzi po podaniu maksymalnej zalecanej dawki produktu.
Nie odnotowano żadnych danych wskazujących na potencjalne działanie genotoksyczne leku.
Zgodnie z oczekiwaniami względem silnie działającego antagonisty receptorów dopaminergicznych D2, w badaniach działania rakotwórczego na szczurach i myszach, stwierdzano zwiększenie częstości występowania gruczolaków przysadki (u myszy), hormonalnie czynnych gruczolaków trzustki (u szczurów) i gruczolaków gruczołów sutkowych (u obu gatunków).
W badaniu działania rakotwórczego na szczurach szczepu Wistar (podszczep Hannover) po podaniu domięśniowym rysperydonu w postaci zawiesiny o przedłużonym uwalnianiu (w dawkach 5 lub 40 mg/kg mc./2 tygodnie), w dawce 40 mg/kg mc. obserwowano większą częstość hormonalnie czynnych guzów trzustki, przysadki mózgowej i rdzenia nadnerczy, a po podaniu produktu w dawkach 5 lub 40 mg/kg mc. stwierdzono występowanie guzów gruczołów sutkowych. Guzy te, stwierdzane po podaniu doustnym i domięśniowym, mogą być związane z przedłużonym zablokowaniem receptora dopaminergicznego D2 oraz z hiperprolaktynemią. Badania na hodowlach tkankowych wskazują, że rozwój komórek w ludzkich guzach piersi może być stymulowany przez prolaktynę. Hiperkalcemia obserwowana w obu grupach dawkowych szczurów, otrzymujących rysperydonu w postaci zawiesiny o przedłużonym uwalnianiu, mogła przyczynić się do zwiększenia częstości występowania guzów rdzenia nadnerczy. Nie ma dowodów na to, że hiperkalcemia może powodować powstawanie guzów chromochłonnych (phaeochromocytoma) u ludzi.
Gruczolaki cewkowe nerek występowały u samców szczura, którym podawano rysperydon w postaci zawiesiny o przedłużonym uwalnianiu w dawce 40 mg/kg mc./2 tygodnie. Guzy nerek nie występowały w grupach kontrolnych po podaniu małej dawki produktu, roztworu 0,9% NaCl, ani po podaniu nośnika w postaci mikrosfer. Mechanizm powstawania nowotworów nerek u samców szczurów szczepu Wistar (podszczep Hannover), którym podawano rysperydonu w postaci zawiesiny o przedłużonym uwalnianiu, nie jest znany. Wzrost częstości nowotworów nerek wywołanych terapią nie został potwierdzony w badaniach rakotwórczości po podaniu doustnym u szczurów szczepu Wistar (podszczep Wiga) ani u myszy szczepu Swiss. Badania różnic międzyosobniczych w zakresie profilu narządów zaatakowanych przez nowotwór sugerują, że szczury szczepu Wistar (podszczep Hannover) użyte w badaniu rakotwórczości, różnią się w sposób znaczący od szczurów szczepu Wistar (podszczep Wiga) użytych w badaniu rakotwórczości jamy ustnej, jeśli chodzi o związane z wiekiem, samoistnie zachodzące w nerkach zmiany o charakterze nienowotworowym, wzrost stężenia prolaktyny w surowicy, jak również zmiany w nerkach, w reakcji na rysperydon. Brak danych wskazujących na powodowanie zmian związanych z nerkami u psów długotrwale leczonych rysperydonem w postaci zawiesiny o przedłużonym uwalnianiu.
Znaczenie wystąpienia osteodystrofii, guzów związanych z wpływem leku na wydzielanie prolaktyny
i przypuszczalnie swoistych dla szczurów guzów nerek ,w odniesieniu do ryzyka u ludzi jest nieznane.
U szczurów i psów, po podaniu dużych dawek rysperydonu w postaci zawiesiny o przedłużonym uwalnianiu, obserwowano podrażnienie w miejscu wstrzyknięcia. W trwającym 24 miesiące badaniu rakotwórczości u szczurów nie stwierdzono zwiększenia zapadalności na guzy w miejscu wstrzyknięcia domięśniowego, ani w grupie otrzymującej lek, ani w grupie kontrolnej.
Modele zwierzęce in vitro i in vivo wykazały, że duże dawki rysperydonu mogą powodować wydłużenie odstępu QT, teoretycznie zwiększającego u pacjentów ryzyko częstoskurczu komorowego typu torsade de pointes.
Skład proszku:
Poli-(d,l-laktydo-ko-glikolid)
Skład rozpuszczalnika:
Polisorbat 20 Karmeloza sodowa
Disodu fosforan dwuwodny Kwas cytrynowy
Sodu chlorek
Sodu wodorotlenek
Woda do wstrzykiwań
Nie mieszać produktu leczniczego z innymi produktami leczniczymi, oprócz wymienionych w
punkcie 6.6.
3 lata w temperaturze 2 - 8°C.
Po przygotowaniu zawiesiny: wykazano stabilność chemiczną i fizyczną sporządzonego produktu
przez okres 24 godzin w temperaturze 25ºC.
Z mikrobiologicznego punktu widzenia produkt powinien być podawany natychmiast po sporządzeniu. Jeśli nie jest niezwłocznie użyty, odpowiedzialność za okres i warunki przechowywania ponosi użytkownik. Sporządzoną zawiesinę można przechowywać nie dłużej niż 6 godzin w temperaturze 25ºC, chyba że przygotowanie zawiesiny przeprowadzono w kontrolowanych i zwalidowanych warunkach aseptycznych.
Przechowywać w lodówce (2ºC do 8ºC). Przechowywać w oryginalnym opakowaniu w celu ochrony
przed światłem.
Poza lodówką produkt leczniczy Risperidone Teva może być przechowywany w temperaturze poniżej
25°C, maksymalnie przez 7 dni przed podaniem.
Przechowywać w oryginalnym opakowaniu w celu ochrony przed światłem. Warunki przechowywania produktu leczniczego po sporządzeniu, patrz punkt 6.3.
Fiolka ze szkła typu I, przezroczysta, wewnętrznie krzemowana, z korkiem z gumy chlorobutylowej. Strzykawka ze szkła typu I, przeźroczysta, wewnętrznie krzemowana, z zamknięciem V-OVS, ze stopką tłoku z gumy bromobutylowej, w tekturowym pudełku.
Każde opakowanie z jednorazową dawką (zestaw) zawiera następujące elementy umieszczone razem
na plastikowej tacce:
Risperidone Teva dostępny jest w opakowaniach zawierających 1, 2, lub 5 zestawów.
Nie wszystkie wielkości opakowań muszą znajdować się w obrocie.
do stosowania
Ważna informacja
W celu zapewnienia pomyślnego podania produktu leczniczego Risperidone Teva, należy uważnie (krok po kroku) zapoznać się z „Instrukcją użytkowania urządzenia”.
Używać wyłącznie składników zestawu
Składniki tego zestawu są przeznaczone specjalnie do stosowania z produktem leczniczym Risperidone Teva. Do przygotowania zawiesiny produktu leczniczego Risperidone Teva musi być użyty wyłącznie rozpuszczalnik znajdujący się w opakowaniu.
Nie zastępować ŻADNEGO ze składników zestawu znajdującego się w opakowaniu.
Nie przechowywać zawiesiny po jej sporządzeniu.
Należy podać zawiesinę tak szybko po sporządzeniu, jak to możliwe, aby uniknąć sedymentacji.
Właściwe podawanie
Musi być podana cała zawartość fiolki, aby pacjent otrzymał właściwą dawkę produktu leczniczego
Risperidone Teva.

Nie używać powtórnie
Aby wyroby medyczne działały zgodnie z przeznaczeniem, wymagane są określone właściwości materiałowe. Właściwości te zostały sprawdzone tylko dla jednorazowego użycia. Wszelkie próby ponownego wykorzystania urządzenia mogą prowadzić do jego uszkodzenia lub pogorszenia działania.
Zawartość opakowania (zestawu)
| |
|
Krok 1 | Montaż zestawu | ||
Wyjąć opakowanie | Połączyć fiolkę z łącznikiem (adapterem) | ||
|
|
|
|
Należy odczekać 30 minut Przed sporządzeniem zawiesiny wyjąć opakowanie produktu z lodówki i pozostawić w temperaturze pokojowej na nie mniej niż 30 minut. | Usunąć nasadkę z fiolki Oderwać kolorową nasadkę z fiolki. Przetrzeć z góry gumowy szary korek gazikiem nasączonym alkoholem. Pozostawić do wyschnięcia. | Przygotować łącznik fiolki (adapter) Rozerwać torebkę blistrową i wyjąć łącznik fiolki, trzymając między białą nasadką a osłoną. Nigdy nie dotykać końcówki kolca ani punktu połączenia. Spowoduje to jego zanieczyszczenie. | Połączyć adapter z fiolką Postawić fiolkę na twardej powierzchni i trzymać u podstawy. Ustawić adapter centralnie nad szarym gumowym korkiem. Wcisnąć adapter prosto w dół, aż mocno zaciśnie się na szczycie fiolki, co zostanie potwierdzone słyszalnym „kliknięciem”. |

Nie podgrzewać w żaden inny sposób. | Nie zdejmować szarego gumowego korka. | Nie zakładać adaptera na fiolkę pod kątem, gdyż może dojść do wycieku rozpuszczalnika podczas wprowadzania go do fiolki.
|
Połączenie ampułkostrzykawki z adapterem | |||
|
|
|
|
Przetrzeć punkt połączenia Trzymać fiolkę pionowo, aby zapobiec wyciekowi. Trzymając fiolkę za podstawę przetrzeć punkt połączenia adaptera (niebieskie kółko) gazikiem nasączonym alkoholem i pozostawić do wyschnięcia przed podłączeniem strzykawki. Nie wstrząsać. Nie dotykać odkrytego punktu połączenia w adapterze. Spowoduje to jego zanieczyszczenie. | Prawidłowo uchwycić ampułko-strzykawkę Trzymać za biały kołnierz na końcu ampułkostrzykawki. Nie trzymać za szklany cylinder podczas łączenia.
| Usunąć nasadkę Trzymając za biały kołnierz odłamać białą nasadkę. Nie odkręcać ani nie odcinać białej nasadki. Nie dotykać końcówki ampułko- strzykawki. Spowoduje to jej zanieczyszczenie.
Odłamaną nakrętkę można wyrzucić. | Połączyć ampułko- strzykawkę z adapterem Trzymać stabilnie adapter za osłonkę. Trzymając ampułko- strzykawkę za biały kołnierz włożyć i wcisnąć jej koniec w niebieskie kółko łącznika fiolki i przekręcić w prawo aby zabezpieczyć połączenie strzykawki z łącznikiem fiolki (unikać nadmiernego dokręcania). Nie trzymać za szklany cylinder ampułko-strzykawki. Może to spowodować poluzowanie lub odłączenie się białego kołnierza. |
Krok 2 | Sporządzanie zawiesiny | ||
|
|
|
|
Wstrzyknąć rozpuszczalnik Wstrzyknąć do fiolki cały rozpuszczalnik zawarty w ampułko- strzykawce.
| Rozproszyć proszek w rozpuszczalniku Trzymając wciśnięty tłok wstrząsać energicznie przez co najmniej 10 sekund, jak pokazano. Obejrzeć zawiesinę. Zawiesina prawidłowo wymieszana będzie jednorodna, gęsta i mleczna w kolorze. Proszek będzie widoczny w płynie. Natychmiast przejść do następnego etapu, aby zawiesina nie uległa sedymentacji. | Przenieść zawiesinę do ampułko- strzykawki Obrócić fiolkę do góry dnem. Powoli ciągnąć za tłok, by pobrać z fiolki do ampułko- strzykawki całą objętość zawiesiny. | Usunąć adapter fiolki Trzymając za biały kołnierz ampułko- strzykawki należy odkręcić ampułko- strzykawkę od adaptera. Usunąć zarówno fiolkę, jak i adapter we właściwy sposób. |
Krok 3 | Dołączenie igły | ||
|
|
|
|
Wybrać odpowiednią igłę Wybrać igłę w zależności od miejsca wstrzyknięcia (w mięsień pośladkowy lub naramienny). | Dołączyć igłę Rozerwać częściowo blister i chwycić podstawę igły, jak pokazano. Trzymając ampułko- strzykawkę za biały kołnierz, połączyć ją z gniazdem luer w igle wkręcając zgodnie z ruchem wskazówek zegara, aż połączenie będzie pewne. Nie dotykać gniazda luer w igle. Spowoduje to jego zanieczyszczenie. | Ponownie wymieszać zawiesinę Usunąć całkowicie blister. Bezpośrednio przed wstrzyknięciem należy wstrząsnąć ponownie ampułko-strzykawką, gdyż może pojawić się osad. | |
Krok 4 | Wstrzyknięcie dawki | |||
|
|
|
|
|
Zdjąć przezroczystą osłonkę z igły Odgiąć zabezpieczenie igły w kierunku ampułko- strzykawki, jak pokazano. Trzymając ampułko- strzykawkę za biały kołnierz, zdjąć przezroczystą osłonkę z igły. Nie przekręcać przezroczystej osłonki igły, ponieważ połączenie typu luer mogłoby się obluzować. | Usunąć pęcherzyki powietrza Trzymając ampułko- strzykawkę igłą do góry, delikatnie postukać, aby pęcherzyki powietrza przemieściły się do ujścia ampułko- strzykawki. Usunąć powietrze przez ostrożne i powolne naciśnięcie tłoka. | Wstrzyknąć Niezwłocznie wstrzyknąć całą zawartość ampułko- strzykawki w wybrany mięsień (pośladkowy lub naramienny) pacjenta (domięśniowo – im.). Wstrzyknięcia w mięsień pośladkowy należy dokonać w górny zewnętrzny kwadrant pośladka. Nie podawać dożylnie. | Zabezpieczyć igłę Trzymając ampułko- strzykawkę jedną ręką, oprzeć zabezpieczenie igły o płaską twardą powierzchnię pod kątem 45 stopni. Wcisnąć igłę w zabezpieczenie szybkim, zdecydowanym ruchem, tak by całkowicie w nim się schowała. Unikać zakłucia się igłą: | Usunąć we właściwy sposób Należy sprawdzić, czy igła jest całkowicie zamknięta w osłonce. Usunąć do specjalnego pojemnika na zużyte środki medyczne. Usunąć również drugą, niewykorzystaną igłę dostarczoną w opakowaniu. |
Nie używać dwóch rąk. | ||||
Nie odłączać umyślnie zabezpieczenia igły ani niewłaściwie się z nim obchodzić. | ||||
Nie próbować prostować igły ani zakładać na nią zabezpieczenia, gdy igła jest skrzywiona lub uszkodzona. | ||||
DOPUSZCZENIE DO OBROTU
Teva B.V. Swensweg 5 2031GA Haarlem Holandia
Risperidone Teva, 25 mg - 26487
OBROTU I DATA PRZEDŁUŻENIA POZWOLENIA
Data wydania pierwszego pozwolenia na dopuszczenie do obrotu: 2021.07.02
CHARAKTERYSTYKI PRODUKTU LECZNICZEGO
2022.03.10



































