Spis treści:
- NAZWA PRODUKTU LECZNICZEGO
- SKŁAD JAKOŚCIOWY I ILOŚCIOWY
- POSTAĆ FARMACEUTYCZNA
- SZCZEGÓŁOWE DANE KLINICZNE
- WŁAŚCIWOŚCI FARMAKOLOGICZNE
- DANE FARMACEUTYCZNE
- PODMIOT ODPOWIEDZIALNY POSIADAJĄCY POZWOLENIE NA DOPUSZCZENIE DO OBROTU
- NUMER POZWOLENIA NA DOPUSZCZENIE DO OBROTU
- DATA WYDANIA PIERWSZEGO POZWOLENIA NA DOPUSZCZENIE DO OBROTU I DATA PRZEDŁUŻENIA POZWOLENIA
- DATA ZATWIERDZENIA LUB CZĘŚCIOWEJ ZMIANY TEKSTU CHARAKTERYSTYKI PRODUKTU LECZNICZEGO
CHARAKTERYSTYKA PRODUKTU LECZNICZEGO
NAZWA PRODUKTU LECZNICZEGO
SKŁAD JAKOŚCIOWY I ILOŚCIOWY
POSTAĆ FARMACEUTYCZNA
SZCZEGÓŁOWE DANE KLINICZNE
Wskazania do stosowania
umiarkowany do ciężkiego alergiczny nieżyt nosa spowodowany kurzem domowym, utrzymujący się pomimo stosowania leków łagodzących objawy;
astma oskrzelowa wywołana alergią na kurz domowy, niekontrolowana dobrze za pomocą wziewnych kortykosteroidów z towarzyszącym umiarkowanym do ciężkiego alergicznym nieżytem nosa wywołanym przez kurz domowy. Przed rozpoczęciem leczenia należy uważnie ocenić stan zaawansowania astmy u pacjenta (patrz punkt 4.3).
Produkt leczniczy ACARIZAX jest wskazany do stosowania u młodzieży (w wieku od 12 do 17 lat), u których rozpoznanie zostało postawione na podstawie wywiadu klinicznego oraz dodatniego testu alergicznego na roztocza kurzu domowego (punktowe testy skórne i/lub swoiste immunoglobuliny E) w leczeniu umiarkowanego do ciężkiego alergicznego nieżytu nosa spowodowanego kurzem domowym, utrzymującego się pomimo stosowania leków łagodzących objawy.
Dawkowanie i sposób podawania
Przeciwwskazania
Specjalne ostrzeżenia i środki ostrożności dotyczące stosowania
Interakcje z innymi produktami leczniczymi i inne rodzaje interakcji
Wpływ na płodność, ciążę i laktację
Wpływ na zdolność prowadzenia pojazdów i obsługiwania maszyn
Działania niepożądane
Przedawkowanie
WŁAŚCIWOŚCI FARMAKOLOGICZNE
Właściwości farmakodynamiczne
W badaniu MERIT wzięło udział 992 dorosłych osób z umiarkowanym do ciężkiego alergicznym nieżytem nosa spowodowanym kurzem domowym. Uczestnicy byli randomizowani do leczenia trwającego około 1 rok i podawania raz na dobę 12 SQ-HMD,
6 SQ-HMD lub placebo. Uczestnicy mieli również wolny dostęp do standardowego leczenia alergicznego nieżytu nosa. Podczas całego badania, uczestnicy mieli kontrolne wizyty u specjalisty co 2 miesiące.
Pierwszorzędowym punktem końcowym była średnia dziennych ocen objawów nieżytu nosa (TCRS, ang. Total Combined Rhinitis Score), która była oceniana przez 8 ostatnich tygodni leczenia.
TCRS było sumą ocen objawów alergicznego nieżytu nosa oraz przyjmowanego z tego powodu leczenia. Ocena objawów alergicznego nieżytu nosa obejmowała 4 objawy w ciągu doby (wyciek z nosa, zatkany nos, świąd nosa, kichanie) w skali od 0 do 3 (brak, łagodne, umiarkowane lub ciężkie objawy), tak więc zakres skali wynosił od 0 do 12 punktów. Punktacja leczenia z powodu alergicznego nieżytu nosa była sumą punktacji powiązaną z donosowym przyjmowaniem steroidów (2 punkty za jedno podanie donosowe, maksymalnie 4 podania na dobę) i doustnych leków przeciwhistaminowych (4 punkty za tabletkę, maksymalnie 1 tabletka na dobę), co daje zakres od 0 do 12 punktów. Tak więc, całkowity zakres TCRS wynosił od 0 do 24.
Dodatkowymi, zdefiniowanymi wcześniej drugorzędowymi punktami końcowymi były średnia dzienna ocena objawów nieżytu nosa i zapalenia spojówek oraz kwestionariusz oceny jakości życia w przypadku nieżytu nosa i zapalenia spojówek (RQLQ, ang. Rhinoconjunctivitis Quality of Life Questionnaire).
W celu dalszej oceny znaczenia klinicznego uzyskanych wyników, prowadzona była również analiza post-hoc dni z zaostrzeniem alergicznego nieżytu nosa.
Zaostrzenie alergicznego nieżytu nosa było zdefiniowane jako dni, w których objawy
u uczestnika badania powróciły do stanu sprzed włączenia do badania: punktacja w skali oceny nieżytu nosa co najmniej 6 lub co najmniej 5 i jeden objaw oceniony jak ciężki.
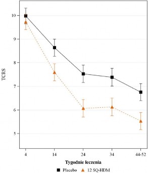
Badanie MERIT: Zmiany dziennych ocen objawów nieżytu nosa w czasie
(TCRS, ang. Total Combined Rhinitis Score, (objawy + leczenie).
Pierwszorzędowym punktem końcowym była średnia dziennych ocen objawów nieżytu nosa oceniana przez 8 ostatnich tygodni leczenia (tygodnie
~44-52).
Wartości skorygowane średnich TCRS w czasie z uwzględnionym zakresem błędu dla wartości skorygowanej.
Obszary nie zachodzą na siebie, co wskazuje na różnice istotne statystycznie pomiędzy grupami.
Wyniki badania MERIT
12 SQ-HDM
Placebo
Wynik leczenia
Pierwszorzędowy punkt końcowy
N
Punktacja
N
Punktacja
Bezwzględna różnica c
Względna różnica d
p
Całkowita połączona punktacja alergicznego nieżytu nosa
FAS-MI a (średnia dostosowana)
318
5,71
338
6,81
1,09
[0,35;1,84]
-
0,004
FAS b (średnia dostosowana)
284
5,53
298
6,76
1.22
[0,49;1,96]
18%
0,001
FAS b (mediana)
284
5,88
298
7,54
1,66
22%
-
Wstępnie zdefiniowane
kluczowe drugorzędowe punkty końcowe
N
Punktacja
N
Punktacja
Bezwzględna różnica c
Względna różnica d
p
Punktacja objawów alergicznego nieżytu nosa
FAS b (średnia dostosowana)
284
2,76
298
3,30
0,54
[0,18;0,89]
16%
0,003
FAS b (mediana)
284
2,98
298
3,98
1,00
25%
-
Punktacja leczenia alergicznego nieżytu nosa
FAS b (średnia dostosowana)
284
2,22
298
2,83
0,60
[0,08;1,13]
21%
0,024
FAS b (mediana)
284
2,83
298
4,00
1,17
29%
-
Całkowita połączona punktacja alergicznego nieżytu nosa
FAS b (średnia dostosowana)
241
7,91
257
9,12
1,21
[0,13;2,28]
13%
0,029
FAS b (mediana)
241
8.38
257
10.05
1.67
17%
-
Punktacja w Kwestionariuszu jakości życia, Rhinoconjunctivitis quality of life questionnaire (RQLQ(S))
FAS b (średnia dostosowana)
229
1,38
240
1,58
0,19 e
[0,02;0,37]
12%
0,031
FAS b (mediana)
229
1,25
240
1,46
0,21
14%
-
Punkty końcowe Post-hoc
N
Odsetek
N
Odsetek
Iloraz szans f [95% CL]
P
Prawdopodobieństwo wystąpienia dnia z zaostrzeniem alergicznego nieżytu nosa
FAS (szacunkowa) b
284
5,33%
298
11,14%
0,45 [0,28;0,72]
0,001
Prawdopodobieństwo wystąpienia dnia z zaostrzeniem alergicznego nieżytu nosa pomimo stosowania farmakoterapii
FAS (szacunkowa) b
284
3,43%
298
6,50%
0,51 [0,32;0,81]
0,005
N: liczba uczestników w grupie leczonej, których dane były dostępne do analizy. CL: przedział ufności
a FASS-MI – ang. Full Analysis Set with Multiple Imputation, analiza pełnych danych z wielokrotną imputacją. Analiza traktuje uczestników, którzy przerwali udział w badaniu przed oceną skuteczności jak uczestników, którzy otrzymywali placebo. W przypadku analizy pierwszorzędowej (FAS-MI) tylko bezwzględna różnica była zdefiniowana wcześniej.
b FAS: ang. Full Analysis Set., analiza pełnych danych. Wykorzystano wszystkie dostępne dane, np. uczestników badania, którzy dostarczyli dane podczas okresu skuteczności.
c Różnica bezwzględna: placebo minus 12 SQ-HDM, przedział ufności 95%.
d Różnica względna wobec placebo: placebo minus 12 SQ-HDM, podzielone przez placebo.
e Różnica pomiędzy 12 SQ-HDM i placebo wynikała przede wszystkim z trzech domen: problemów ze snem, problemów praktycznych oraz objawów nieżytu nosa.
f Iloraz szans wystąpienia zaostrzenia nieżytu nosa: 12 SQ-HDM wobec placebo.
Dodatkowe dane – alergiczny nieżyt nosa
W komorze z ekspozycją na alergen przeprowadzono randomizowane, podwójnie zaślepione, kontrolowane placebo badanie kliniczne II fazy z udziałem 124 dorosłych osób z alergicznym nieżytem nosa i uczuleniem na roztocze kurzu domowego. Przed ekspozycją na każdy alergen, uczestników wypłukiwano z leczenia przeciwalergicznego. Po 24 tygodniach w końcowej fazie ekspozycji na alergen, po podawaniu 12 SQ-HMD, 6 SQ-HMD lub placebo, średnia punktacja objawów alergicznego nieżytu nosa wynosiła 7,45 [6,57; 8,33] w grupie placebo i 3,83 [2,94; 4,72] w grupie 12 SQ-HDM, co odpowiada bezwzględnej różnicy wynoszącej 3,62 i względnej różnicy wynoszącej 49% (przedział ufności 95% [35%; 60%], p<0,001). Różnica pomiędzy 12 SQ-HDM
i placebo była także istotna statystycznie w 16 tygodniu leczenia (średnia punktacja wynosiła 4,82 i 6,90, różnica 2,08 co odpowiada 30%, CI 95% [17%; 42%], p<0,001) oraz w 8 tygodniu (średnia
punktacja 5,34 i 6,71, różnica 1,37 co odpowiada 20%, 95% CI [7%; 33%], p=0,007).
Astma alergiczna
Badanie MITRA (MT-04)
Do badania MITRA włączono 834 dorosłych osób z astmą alergiczną w przebiegu uczulenia na roztocze kurzu domowego, nie kontrolowaną wystarczająco poprzez stosowanie wziewnych kortykosteroidów (ICS, ang. Inhaled Corticosteroids) w dawce odpowiadającej 400-1200 μg budezonidu. Wszyscy uczestnicy otrzymali leczenie 12 SQ-HMD, 6 SQ-HMD lub placebo i krótko działającymi agonistami receptora beta przed zmniejszeniem dawki wziewnych kortykosteroidów (ICS) trwające 7-12 miesięcy. Przed randomizacją nie było fazy miareczkowania dawki w celu ustalenia najmniejszej dawki podtrzymującej wziewnych kortykosteroidów (ICS). Skuteczność oceniano czasem pierwszego umiarkowanego do ciężkiego zaostrzenia astmy w okresie stosowania wziewnych kortykosteroidów (ICS) w zmniejszonej dawce, a czas obserwacji wynosił co najmniej 6 miesięcy w okresie leczenia, które trwało 13-18 miesięcy.
Definicja umiarkowanego zaostrzenia astmy była spełniona, jeśli u uczestnika badania wystąpiło jedno lub więcej z 4 kryteriów podanych poniżej i prowadziło to do zmiany leczenia:
Nocne wybudzanie się lub nasilenie objawów: nocne wybudzanie się (wybudzania) spowodowane astmą, wymagające zastosowania krótko działających agonistów receptora ß2 (SABA, ang. Short Acting ß2 Agonist) przez dwie kolejne noce lub zwiększenie o ≥75% od wartości wyjściowej punktacji objawów w ciągu dnia przez 2 kolejne dni.
Zwiększenie stosowania krótko działających agonistów receptora ß2 (SABA): zwiększenie częstości stosowania krótko działających agonistów receptora ß2 (SABA) przez dwa kolejne dni (minimalnie zwiększenie: 4 inhalacje na dobę).
Pogorszenie czynności płuc: ≥20% zmniejszenie PEF w stosunku do wartości wyjściowej przez 2 kolejne poranki/wieczory lub zmniejszenie o ≥20% od wartości wyjściowej FEV1.
Wizyty u lekarza: wizyty w oddziale ratunkowym lub klinice prowadzącej badanie w celu leczenia astmy niewymagającego podania systemowych kortykosteroidów.
Ciężkie zaostrzenie astmy było zdefiniowane jako wystąpienie co najmniej jednego z następujących kryteriów:
Potrzeba zastosowania systemowych kortykosteroidów przez ≥3 dni,
Pobyt w oddziale ratunkowym wymagający podania systemowych kortykosteroidów lub hospitalizacja przez ≥12 godzin.
Badanie MITRA – przedstawienie pierwszorzędowych danych skuteczności: w osi czasu przedstawiono ryzyko wystąpienia umiarkowanego lub ciężkiego zaostrzenia astmy podczas zmniejszania lub odstawiania wziewnych
kortykosteroidów.
Na osi czasu wartość 0 reprezentuje czas w jakim zmniejszono wziewne kortykosteroidy o 50%.
Po około 3 miesiącach, czyli po 90 dniach, u tych uczestników, u których nie występowało zaostrzenie, całkowicie odstawiano wziewne kortykosteroidy.
Wyniki badania MITRA
12 SQ-HDM
Placebo
Skuteczność
12 SQ-HDM wobec placebo
P
N
n (%)
N
n (%)
Współczynnik ryzyka
[95% CL]
Zmniejszenie ryzykaa
Pierwszorzędowy punkt końcowy
Jakiekolwiek zaostrzenie, umiarkowane lub ciężkie
(FAS-MI) b
282
59 (21%)
277
83
(30%)
0,69
[0,50;0,96]
31%
0,027
Jakiekolwiek zaostrzenie,
umiarkowane lub ciężkie (FAS) c
248
59 (24%)
257
83
(32%)
0,66
[0,47;0,93]
34%
0,017
Wyniki badania MITRA
12 SQ-HDM
Placebo
Skuteczność
12 SQ-HDM wobec placebo
P
N
n (%)
N
n (%)
Współczynnik ryzyka
[95% CL]
Zmniejszenie ryzykaa
Zdefiniowane wcześniej analizy składowych pierwszorzędowego punktu końcowego
Przebudzenia nocne lub nasilenie objawów c
248
39 (16%)
257
57
(22%)
0,64
[0,42;0,96]
36%
0,031
Zwiększenie stosowania krótko działających
agonistów receptora ß2 (SABA) c
248
18 (7%)
257
32
(12%)
0,52
[0,29;0,94]
48%
0,029
Pogorszenie czynności płuc c
248
30 (12%)
257
45
(18%)
0,58
[0,36;0,93]
42%
0,022
Ciężkie zaostrzenie c
248
10 (4%)
257
18 (7%)
0,49
[0,23;1,08]
51%
0,076
N: liczba uczestników w grupie leczonej, których dane były dostępne do analizy. n(%): liczba i odsetek w grupie leczonej, którzy spełniali kryteria
CL: przedział ufności
a Ocenione na podstawie współczynnika ryzyka.
b FASS-MI – ang. Full Analysis Set with Multiple Imputation, analiza pełnych danych z wielokrotną imputacją. Analiza traktuje uczestników, którzy przerwali udział w badaniu przed oceną skuteczności, jak uczestników, którzy otrzymywali placebo.
c FAS: ang. Full Analysis Set, analiza pełnych danych. Wykorzystano wszystkie dostępne dane, np. uczestników badania, którzy dostarczyli dane podczas okresu skuteczności.
W celu oceny działania produktu ACARIZAX jako terapii dodatkowej do wziewnych kortykosteroidów, przeprowadzono analizy post-hoc objawów astmy oraz stosowania leczenia objawowego przez co najmniej 4 tygodnie leczenia przed zmniejszeniem dawek doustnych kortykosteroidów. W analizie oceniano punktację objawów astmy podczas dnia i nocy, przebudzenia nocne oraz stosowanie krótko działających agonistów receptora ß2 (SABA).Wyniki analizy post-hoc wykazały numeryczne różnice spójnie podkreślające wyższość 12 SQ-HMD nad placebo dla wszystkich parametrów badanych podczas co najmniej 4 tygodni leczenia przed zmniejszeniem dawek doustnych kortykosteroidów. Istotne statystycznie różnice wystąpiły tylko w przypadku punktacji objawów astmy podczas dnia (p=0,0450) oraz nocnego wybudzania (p=0,0409).
Dowody wspomagające – astma alergiczna
Do podwójnie zaślepionego, randomizowanego, kontrolowanego placebo badania II fazy włączono 604 uczestników w wieku ≥14 lat z astmą alergiczną spowodowaną uczuleniem na roztocze kurzu domowego, kontrolowaną podawaniem wziewnych kortykosteroidów (100-800 μg budezonidu) oraz dodatnim wywiadem klinicznym w kierunku alergicznego nieżytu nosa spowodowanego uczuleniem na roztocze kurzu domowego. Uczestnicy byli randomizowani do leczenia trwającego około 1 roku
i otrzymywali 1, 3, 6 SQ-HDM lub placebo. W 4. tygodniu okresu końcowej oceny skuteczności, średnia zmiana w odniesieniu do wartości wyjściowej stosowania wziewnych kortykosteroidów wynosiła 207,6 μg budezonidu w grupie 6 SQ-HDM i 126,3 μg w grupie placebo, co odpowiada bezwzględnej różnicy 81 μg budezonidu na dobę (przedział ufności 95% [27; 136], p=0,004).
Względna średnia i mediana zmniejszenia stosowania wziewnych kortykosteroidów w stosunku do wartości wyjściowej wynosiły odpowiednio 42% i 50% w przypadku 6 SQ-HDM i 15% oraz 25% w przypadku placebo. W analizie post-hoc podgrupy (N=108) uczestników z gorzej kontrolowaną
astmą, którzy stosowali wziewne kortykosteroidy ≥400 μg budezonidu, średnia zmiana w odniesieniu do wartości wyjściowej stosowania wziewnych kortykosteroidów wynosiła 384,4 μg budezonidu
w grupie 6 SQ-HDM i 57,8 μg w grupie placebo, co odpowiada bezwzględnej różnicy pomiędzy
6 SQ-HDM i placebo wynoszącej 327 μg budezonidu na dobę (przedział ufności 95% CI [182; 471], p<0,0001, analiza post-hoc).
Dzieci i młodzież
Alergiczny nieżyt nosa:
Dzieci w wieku od 5 do 11 lat
Brak doświadczeń klinicznych ze stosowaniem produktu ACARIZAX w leczeniu alergicznego nieżytu nosa u dzieci w wieku poniżej 12 lat.
Młodzież w wieku od 12 do 17 lat
Skuteczność leczenia produktem ACARIZAX 12 SQ-HDM w leczeniu alergicznego nieżytu nosa spowodowanego kurzem domowym u młodzieży, badano w dwóch podwójnie zaślepionych, randomizowanych, kontrolowanych placebo badaniach klinicznych (P001 i TO-203-3-2). W tych badaniach odsetek pacjentów stanowiła młodzież.
W badaniu P001 wzięło udział 189 osób z grupy młodzieży (z ogólnej liczby 1482 osób randomizowanych do badania) z umiarkowanym do ciężkiego alergicznym nieżytem nosa spowodowanym kurzem domowym lub z nieżytem nosa i zapaleniem spojówek, z astmą lub bez astmy. Uczestnicy byli randomizowani do leczenia trwającego około 1 rok i podawania raz na dobę 12 SQ-HMD lub placebo. Uczestnicy mieli również wolny dostęp do standardowego leczenia alergicznego nieżytu nosa.
Pierwszorzędowym punktem końcowym była średnia dziennych ocen objawów nieżytu nosa (TCRS, ang. Total Combined Rhinitis Score), która była oceniana przez 8 ostatnich tygodni leczenia.
Po roku leczenia z zastosowaniem 12 SQ-HDM, w grupie młodzieży stwierdzono bezwzględna różnicę wynoszącą 1,0 (przedział ufności 95%[0,1; 2,0]) i względną różnicę 22% (p = 0,024), w porównaniu z grupą placebo.
W badaniu TO-203-3-2 wzięło udział 278 osób z grupy młodzieży (z ogólnej liczby 851 osób randomizowanych do badania) z umiarkowanym do ciężkiego alergicznym nieżytem nosa spowodowanym kurzem domowym. Uczestnicy byli randomizowani do leczenia trwającego około 1 rok i podawania raz na dobę 12 SQ-HMD, 6 SQ-HMD lub placebo. Uczestnicy mieli również wolny dostęp do standardowego leczenia alergicznego nieżytu nosa.
Właściwości farmakokinetyczne
Przedkliniczne dane o bezpieczeństwie
DANE FARMACEUTYCZNE
Wykaz substancji pomocniczych
Niezgodności farmaceutyczne
Okres ważności
Specjalne środki ostrożności podczas przechowywania
Rodzaj i zawartość opakowania
Specjalne środki ostrożności dotyczące usuwania i przygotowania produktu leczniczego do stosowania
PODMIOT ODPOWIEDZIALNY POSIADAJĄCY POZWOLENIE NA DOPUSZCZENIE DO OBROTU
NUMER POZWOLENIA NA DOPUSZCZENIE DO OBROTU
DATA WYDANIA PIERWSZEGO POZWOLENIA NA DOPUSZCZENIE DO OBROTU I DATA PRZEDŁUŻENIA POZWOLENIA
DATA ZATWIERDZENIA LUB CZĘŚCIOWEJ ZMIANY TEKSTU CHARAKTERYSTYKI PRODUKTU LECZNICZEGO
ACARIZAX, 12 SQ-HDM, liofilizat podjęzykowy
Standaryzowany wyciąg alergenowy roztoczy kurzu domowego Dermatophagoides pteronyssinus
i Dermatophagoides farinae, zawierający 12 SQ-HDM* w liofilizacie podjęzykowym. Pełny wykaz substancji pomocniczych, patrz punkt 6.1.
*[SQ-HDM jest jednostką produktu ACARIZAX. SQ jest metodą standaryzacji aktywności biologicznej, zawartości głównego alergenu oraz złożoności wyciągu alergenowego. HDM jest skrótem od ang. House Dust Mite – co oznacza roztocze kurzu domowego.]
Liofilizat podjęzykowy
Biały lub prawie biały, okrągły, wytłoczony liofilizat podjęzykowy.
Produkt leczniczy ACARIZAX jest wskazany do stosowania u dorosłych (w wieku od 18 do 65 lat), u których rozpoznanie zostało postawione na podstawie wywiadu klinicznego oraz dodatniego testu
alergicznego na roztocza kurzu domowego (punktowe testy skórne i /lub swoiste immunoglobuliny E) oraz co najmniej jednego z poniższych stanów:
Dawkowanie
Zalecana dawka dla osób dorosłych i młodzieży (w wieku od 12 do 17 lat) to jeden liofilizat podjęzykowy (12 SQ-HDM) na dobę.
Należy oczekiwać, iż początek działania klinicznego wystąpi po 8-14 tygodniach od rozpoczęcia leczenia. Międzynarodowe wytyczne dotyczące leczenia wskazują, że modyfikacja choroby występuje po okresie 3 lat stosowania immunoterapii alergenowej. Dane dotyczące skuteczności produktu ACARIZAX obejmują 18 miesięcy leczenia dorosłych osób; brak danych dotyczących okresu leczenia wynoszącego 3 lata (patrz punkt 5.1). Jeśli w ciągu pierwszego roku leczenia produktem ACARIZAX nie następuje poprawa, nie ma wskazań do kontynuacji leczenia.
Dzieci i młodzież
Alergiczny nieżyt nosa: Dawkowanie u dorosłych i młodzieży (w wieku od 12 do 17 lat) jest takie samo. Brak doświadczeń klinicznych ze stosowaniem produktu ACARIZAX w leczeniu alergicznego nieżytu nosa u dzieci w wieku poniżej 12 lat. ACARIZAX nie jest przeznaczony do stosowania
u dzieci w wieku poniżej 12 lat. Aktualnie dostępne dane dotyczące stosowania u dzieci są podane w punkcie 5.1.
Astma oskrzelowa wywołana alergią: Brak doświadczeń klinicznych ze stosowaniem produktu ACARIZAX w leczeniu astmy oskrzelowej wywołanej alergią u dzieci w wieku poniżej 18 lat. ACARIZAX nie jest przeznaczony do stosowania w leczeniu astmy oskrzelowej wywołanej alergią u dzieci w wieku poniżej 18 lat.
Osoby w podeszłym wieku
Brak doświadczeń klinicznych ze stosowaniem produktu ACARIZAX u dorosłych w wieku powyżej 65 lat. ACARIZAX nie jest przeznaczony do stosowania u dorosłych w wieku powyżej 65 lat (patrz punkt 5.1).
Sposób podawania
Leczenie produktem ACARIZAX powinno być rozpoczynane przez lekarza z doświadczeniem w leczeniu chorób alergicznych.
Pierwszą dawkę liofilizatu podjęzykowego należy przyjąć pod nadzorem medycznym, a pacjenta należy obserwować przez co najmniej pół godziny w celu omówienia i ewentualnego leczenia jakichkolwiek natychmiastowych działań niepożądanych.
Produkt ACARIZAX jest liofilizatem podjęzykowym. Liofilizat należy wyjąć z blistra suchymi palcami natychmiast po otwarciu blistra, a następnie umieścić pod językiem, gdzie ulegnie rozpuszczeniu. Należy przez około 1 minutę unikać połykania. Przez kolejne 5 minut nie należy spożywać pokarmów i napojów.
Jeśli leczenie produktem ACARIZAX zostanie przerwane na okres nie dłuższy niż 7 dni, pacjent może je samodzielnie ponownie rozpocząć. Jeśli leczenie zostanie przerwane na okres dłuższy niż 7 dni, zaleca się, aby pacjent skontaktował się z lekarzem przed ponownym rozpoczęciem leczenia.
Nadwrażliwość na którąkolwiek substancję pomocniczą wymienioną w punkcie 6.1. Pacjenci, u których na początku leczenia FEV1 wynosi poniżej 70% oczekiwanej wartości (po właściwym leczeniu farmakologicznym).
Pacjenci, u których w okresie ostatnich 3 miesięcy wystąpiło ciężkie zaostrzenie astmy.
W przypadku pacjentów z astmą i ostrym zapaleniem dróg oddechowych, leczenie produktem ACARIZAX należy odłożyć do czasu ustąpienia infekcji.
Pacjenci z czynną lub źle kontrolowaną chorobą autoimmunologiczną, defektami immunologicznymi, niedoborami odporności, immunosupresją lub z nowotworami złośliwymi, wpływającymi na przebieg choroby zasadniczej.
Pacjenci z ostrymi ciężkimi stanami zapalnymi jamy ustnej lub ranami jamy ustnej (patrz punkt 4.4).
Astma
Astma jest znanym czynnikiem ryzyka powstawania ciężkich, systemowych reakcji alergicznych.
Należy poinformować pacjentów, że ACARIZAX nie jest przeznaczony do leczenia nagłych zaostrzeń astmy i w takich przypadkach należy stosować krótko działające leki rozszerzające oskrzela. Jeśli pacjent uważa, że krótko działające leki rozszerzające oskrzela są nieskuteczne lub musi przyjmować więcej inhalacji niż zazwyczaj, powinni zwrócić się do lekarza po poradę.
Należy poinformować pacjentów, że powinni natychmiast zwrócić się o pomoc do lekarza, jeśli wystąpi nagłe pogorszenie astmy.
ACARIZAX powinien być stosowany początkowo jako leczenie pomocnicze i nie powinien zastępować stosowanego wcześniej leczenia astmy. Nagłe przerwanie leków kontrolujących astmę po rozpoczęciu stosowania produktu ACARIZAX nie jest zalecane. Zmniejszenie dawek leków kontrolujących astmę powinno być stopniowe i pod kontrolą lekarza, oraz zgodne z obowiązującymi wytycznymi leczenia astmy.
Ciężkie systemowe reakcje alergiczne
W przypadku wystąpienia ciężkich systemowych reakcji alergicznych, ciężkiego zaostrzenia astmy, obrzęku naczynioruchowego, trudności w połykaniu, trudności w oddychaniu, zmiany głosu, niedociśnienia tętniczego krwi lub uczucia pełności w gardle należy przerwać leczenie i natychmiast skontaktować się z lekarzem. Początkowe objawy reakcji systemowej mogą obejmować nagłe zaczerwienienie, świąd, uczucie gorąca, ogólny dyskomfort i pobudzenie lub lęk.
Jednym ze sposobów leczenia ciężkich systemowych reakcji alergicznych jest podanie adrenaliny. Działanie adrenaliny może być nasilone u pacjentów leczonych trójpierścieniowymi lekami przeciwdepresyjnymi, inhibitorami monoaminooksydazy (MAOIs) i/lub inhibitorami
katecholo-O-metylotransferazy (COMT), co może prowadzić do zgonu. Działanie adrenaliny może być zmniejszone u pacjentów leczonych beta-blokerami.
Zwiększone ryzyko systemowych reakcji alergicznych może występować u pacjentów z chorobami serca. Doświadczenia kliniczne dotyczące leczenia produktem ACARIZAX pacjentów z chorobami serca są ograniczone.
Należy to wziąć pod uwagę przed rozpoczęciem leczenia immunoterapią alergenową.
Należy dokładnie rozważyć rozpoczęcie stosowania produktu ACARIZAX u pacjentów, u których wcześniej wystąpiła systemowa reakcja alergiczna po podaniu podskórnym immunoterapii alergenami roztoczy kurzu domowego. Powinny być również dostępne odpowiednie środki umożliwiające leczenie reakcji. Jest to oparte o doświadczenia po wprowadzeniu do obrotu odpowiadającego produktu w postaci tabletki podjęzykowej stosowanej w immunoterapii alergenami pyłków traw, które wskazują, że istnieje zwiększone ryzyko ciężkiej reakcji alergicznej u pacjentów, u których wcześniej wystąpiła systemowa reakcja alergiczna po podaniu podskórnym immunoterapii alergenami pyłków traw.
Zapalenie jamy ustnej
U pacjentów z ciężkim zapaleniem jamy ustnej (liszaj płaski, owrzodzenie jamy ustnej lub grzybica), ranami w jamie ustnej lub po zabiegach chirurgicznych w jamie ustnej, w tym także ekstrakcji zęba lub wypadnięcia zęba, rozpoczęcie leczenie produktem leczniczym ACARIZAX należy odłożyć
a istniejące leczenie okresowo przerwać, by umożliwić tkankom jamy ustnej zagojenie się. Miejscowe reakcje alergiczne
Pacjenci leczeni produktem ACARIZAX narażeni są na alergen, który wywołuje objawy alergiczne. W związku z tym, podczas leczenia należy się spodziewać miejscowych reakcji alergicznych. Te reakcje są zazwyczaj łagodne lub umiarkowane; niemniej jednak mogą wystąpić cięższe reakcje dotyczące jamy ustnej i gardła. Jeżeli w trakcie leczenia wystąpią wyraźne miejscowe działania niepożądane, należy rozważyć podanie leków przeciwalergicznych (np. przeciwhistaminowych).
Eozynofilowe zapalenie przełyku
Obserwowano przypadki eozynofilowego zapalenia przełyku, związane z leczeniem produktem leczniczym ACARIZAX. U pacjentów z ciężkimi lub utrzymującymi się objawami ze strony przewodu pokarmowego, takimi, jak zaburzenia połykania lub niestrawność, należy przerwać leczenie produktem leczniczym ACARIZAX i zwrócić się do lekarza o przeprowadzenie oceny medycznej.
Choroby autoimmunologiczne w okresie remisji
Dane dotyczące immunoterapii alergicznej u pacjentów z chorobami autoimmunologicznymi w okresie remisji są ograniczone. W związku z powyższym, u tych pacjentów ACARIZAX należy przepisywać z ostrożnością.
Alergia pokarmowa
ACARIZAX może zawierać śladowe ilości białka rybiego. Dostępne dane nie wskazują na wzrost ryzyka wystąpienia reakcji alergicznych u pacjentów z alergią na ryby.
Ten lek zawiera mniej niż 1 mmol (23 mg) sodu na dawkę, to znaczy lek uznaje się za „wolny od sodu”.
Nie przeprowadzono badań klinicznych dotyczących interakcji u ludzi i nie zidentyfikowano potencjalnych interakcji lekowych z jakiegokolwiek źródła. Leczenie skojarzone z objawowymi lekami przeciwalergicznymi może zwiększać poziom tolerancji na immunoterapię u pacjenta. Należy to wziąć pod uwagę podczas przerywania leczenia takimi lekami.
Ciąża
Brak danych klinicznych, dotyczących stosowania produktu leczniczego ACARIZAX u kobiet w ciąży. Badania na zwierzętach nie wykazały podwyższonego ryzyka dla płodu. Nie należy rozpoczynać leczenia produktem leczniczym ACARIZAX podczas ciąży. W przypadku zajścia
w ciążę w okresie leczenia, może ono być kontynuowane po ocenie stanu ogólnego (w tym czynności płuc) pacjentki, a także reakcji na wcześniejsze podawanie produktu leczniczego ACARIZAX.
U pacjentek z występującą wcześniej astmą zaleca się ścisły nadzór podczas ciąży.
Karmienie piersią
Brak dostępnych danych klinicznych dotyczących stosowania produktu ACARIZAX podczas laktacji. Nie przewiduje się wpływu na niemowlę karmione piersią.
Płodność
Brak danych klinicznych dotyczących wpływu stosowania produktu ACARIZAX na płodność. Podczas badań toksyczności po podaniu wielokrotnych dawek u myszy nie zaobserwowano działania na narządy rozrodcze u żadnej z płci.
ACARIZAX nie ma wpływu lub wywiera nieistotny wpływ na zdolność prowadzenia pojazdów lub obsługiwania maszyn.
Podsumowanie profilu bezpieczeństwa
Po podaniu produktu ACARIZAX należy się przede wszystkim spodziewać łagodnych do umiarkowanych miejscowych reakcji alergicznych, które mogą wystąpić w ciągu kilku pierwszych dni i ponownie, w trakcie kontynuacji leczenia (1-3 miesiące) (patrz punkt 4.4). W przypadku większości reakcji, należy się spodziewać ich początku w ciągu 5 minut po każdym zażyciu produktu ACARIZAX oraz ich ustąpienia w ciągu minut do godzin. Mogą wystąpić cięższe reakcje alergiczne dotyczące jamy ustnej i gardła (patrz punkt 4.4).
Zgłaszano pojedyncze przypadki nagłego, ciężkiego pogorszenia objawów astmy. U pacjentów ze znanymi czynnikami ryzyka nie należy rozpoczynać leczenia produktem ACARIZAX (patrz punkt 4.3).
Tabelaryczna lista działań niepożądanych
Działania niepożądane zgłoszone w kontrolowanych placebo badaniach klinicznych, w których oceniano leczenie produktem ACARIZAX dorosłych pacjentów i młodzieży z alergicznym nieżytem nosa i/lub astmą alergiczną, wywołanymi przez alergeny roztoczy kurzu domowego oraz działania niepożądane pochodzące ze spontanicznych doniesień po wprowadzeniu leku do obrotu przedstawiono w poniższej tabeli.
Działania niepożądane są podzielone na grupy na podstawie częstotliwości występowania wg MedDRA: Bardzo często (≥1/10), często (≥1/100 do <1/10), niezbyt często (≥1/1 000 do <1/100), rzadko (≥1/10 000 do <1/1 000), bardzo rzadko (<1/10 000).
Klasyfikacja układów i narządów | Częstość | Działania niepożądane |
Zakażenia i zarażenia pasożytnicze | Bardzo często | Zapalenie części nosowej gardła |
Często | Zapalenie oskrzeli, zapalenie gardła, nieżyt nosa, zapalenie zatok | |
Niezbyt często | Zapalenie krtani | |
Zaburzenia układu immunologicznego | Niezbyt często | Reakcja anafilaktyczna |
Zaburzenia układu nerwowego | Często | Zaburzenia smaku |
Niezbyt często | Zawroty głowy, parestezje |
Zaburzenia oka | Często | Świąd oczu |
Niezbyt często | Alergiczne zapalenie spojówek | |
Zaburzenia ucha i błędnika | Bardzo często | Świąd uszu |
Niezbyt często | Uczucie dyskomfortu w uszach | |
Zaburzenia serca | Niezbyt często | Kołatanie serca |
Zaburzenia układu oddechowego, klatki piersiowej i śródpiersia | Bardzo często | Podrażnienie gardła |
Często | Astma, kaszel*, dysfonia, duszność, ból jamy ustnej i gardła, obrzęk gardła | |
Niezbyt często | Przekrwienie błony śluzowej nosa, uczucie dyskomfortu w nosie, obrzęk błony śluzowej nosa, rumień gardła, wyciek wodnisty z nosa, kichanie, uczucie ucisku w gardle, przerost migdałków | |
Rzadko | Obrzęk krtani, uczucie zatkanego nosa, obrzęk tchawicy | |
Zaburzenia żołądka i jelit | Bardzo często | Obrzęk warg, obrzęk ust, świąd jamy ustnej |
Często | Ból brzucha, biegunka, zaburzenia połykania, niestrawność, refluks żołądkowo- przełykowy, przeczulica języka, zapalenie języka, świąd warg, owrzodzenia w jamie ustnej, ból w jamie ustnej, świąd języka, nudności, uczucie dyskomfortu w jamie ustnej, rumień śluzówki jamy ustnej, parestezje w obrębie jamy ustnej, zapalenie jamy ustnej, obrzęk języka, wymioty | |
Niezbyt często | Suchość w jamie ustnej, ból warg, owrzodzenie warg, podrażnienie przełyku, pęcherze na śluzówce jamy ustnej, powiększenie ślinianek, nadmierne wydzielanie śliny | |
Rzadko | Eozynofilowe zapalenie przełyku | |
Zaburzenia skóry i tkanki podskórnej | Często | Świąd, pokrzywka |
Niezbyt często | Rumień | |
Rzadko | Obrzęk naczynioruchowy | |
Zaburzenia ogólne i stany w miejscu podania | Często | Uczucie dyskomfortu w klatce piersiowej, uczucie zmęczenia |
Niezbyt często | Złe samopoczucie, odczucie ciała obcego |
Opis wybranych działań niepożądanych
Jeżeli u pacjenta na skutek leczenia wystąpią wyraźne objawy niepożądane, należy rozważyć podanie leków przeciwalergicznych.
Po wprowadzeniu produktu leczniczego do obrotu zgłaszano przypadki ciężkich systemowych reakcji alergicznych, w tym anafilaksji. Dlatego ważnym środkiem ostrożności jest podanie pierwszej dawki liofilizatu pod kontrolą lekarza (patrz punkt 4.2). Jednakże, ciężkie, uogólnione reakcje alergiczne wystąpiły po podaniu kolejnych dawek.
W przypadku nagłego pogorszenia objawów astmy lub ciężkich reakcji ogólnoustrojowych, obrzęku naczynioruchowego, trudności z przełykaniem, trudności z oddychaniem, zmiany głosu, niedociśnienia tętniczego krwi lub uczucia pełności w gardle należy natychmiast skontaktować się
z lekarzem. Zgłaszano przypadki przełomu nadciśnieniowego w wyniku niewydolności oddechowej, które występowały krótko po podaniu produktu ACARIZAX. W takich przypadkach leczenie powinno być przerwane na stałe lub do czasu, aż lekarz nie zaleci inaczej.
* W badaniach klinicznych kaszel obserwowano z taką samą częstością występowania u pacjentów stosujących produkt ACARIZAX, jak w grupie pacjentów przyjmujących placebo.
Dzieci i młodzież
ACARIZAX nie jest wskazany do stosowania u dzieci w wieku poniżej 12 lat (patrz punkt 4.2). Dostępne są tylko ograniczone dane dotyczące pacjentów w wieku od 5 do 11 lat i brak danych dotyczących leczenia produktem ACARIZAX dzieci w wieku poniżej 5 lat. Częstość występowania, rodzaj oraz nasilenie działań niepożądanych, zgłaszanych u młodzieży były podobne do występujących u dorosłych.
Zgłaszanie podejrzewanych działań niepożądanych
Po dopuszczeniu produktu leczniczego do obrotu istotne jest zgłaszanie podejrzewanych działań niepożądanych. Umożliwia to nieprzerwane monitorowanie stosunku korzyści do ryzyka stosowania produktu leczniczego. Osoby należące do fachowego personelu medycznego powinny zgłaszać wszelkie podejrzewane działania niepożądane za pośrednictwem Departamentu Monitorowania Niepożądanych Działań Produktów Leczniczych Urzędu Rejestracji Produktów Leczniczych, Wyrobów Medycznych i Produktów Biobójczych:
Al. Jerozolimskie 181C, 02-222 Warszawa, tel.: + 48 22 49-21-301, fax: +48 22 49-21-309, Strona internetowa: https://smz.ezdrowie.gov.pl
Działania niepożądane można zgłaszać również podmiotowi odpowiedzialnemu.
W badaniach I fazy pacjenci dorośli z alergią na roztocze kurzu domowego otrzymywali dawki do 32 SQ-HDM. Brak dostępnych danych dotyczących narażenia na dawki większe u młodzieży niż zalecana dawka dobowa 12 SQ-HDM.
W przypadku zażywania dawek dobowych większych niż zalecane może wzrastać ryzyko wystąpienia działań niepożądanych, w tym ryzyko reakcji ogólnoustrojowych lub ciężkich reakcji miejscowych.
W przypadku ciężkich reakcji, takich jak obrzęk naczynioruchowy, trudności z przełykaniem, trudności z oddychaniem, zmiany głosu lub uczucie pełności w gardle, konieczna jest natychmiastowa pomoc medyczna. Reakcje takie powinny być objęte odpowiednim leczeniem objawowym.
Grupa farmakoterapeutyczna: Wyciągi alergenowe, roztocza kurzu domowego; kod ATC: V01AA03
Mechanizm działania
ACARIZAX jest immunoterapią alergenową. Immunoterapia alergenowa produktami zawierającymi alergen polega na systematycznym podawaniu alergenu osobom uczulonym, co ma na celu modyfikację odpowiedzi immunologicznej na alergen.
Punktem uchwytu działania farmakodynamicznego jest układ immunologiczny, ale pełny i dokładny mechanizm działania dotyczący skutku klinicznego nie jest w pełni poznany. Wykazano, że leczenie produktem leczniczym ACARIZAX indukuje wzrost stężenia swoistych przeciwciał IgG4 swoistych dla roztoczy kurzu domowego oraz indukuje odpowiedź przeciwciał ogólnoustrojowych, które mogą współzawodniczyć z IgE w przyłączaniu alergenów kurzu domowego. To działanie jest obserwowane już po 4 tygodniach leczenia.
W chorobie alergicznej układu oddechowego wywołanej roztoczami kurzu domowego ACARIZAX działa przyczynowo, a jego działanie kliniczne podczas leczenia wykazano zarówno w przypadku górnych i dolnych dróg oddechowych. Działanie ochronne produktu ACARIZAX prowadzi do poprawy kontroli choroby i jakości życia, co wykazano poprzez łagodzenie objawów, zmniejszenie potrzeby stosowania innych leków oraz zmniejszenie ryzyka zaostrzeń choroby.
Skuteczność kliniczna u dorosłych
Skuteczność leczenia produktem ACARIZAX 12 SQ-HDM w leczeniu choroby alergicznej układu oddechowego wywołanej roztoczami kurzu domowego badano w dwóch podwójnie zaślepionych, randomizowanych, kontrolowanych placebo badaniach klinicznych, gdzie punkty końcowe były różne, jak również różne były populacje pacjentów. Dwie trzecie osób włączonych do badania, poza uczuleniem na roztocze kurzu domowego było uczulonych na inne alergeny. Uczulenie wyłącznie na roztocze kurzu domowego lub roztocze kurzu domowego i jeden lub więcej innych alergenów nie miało wpływu na wyniki badania. Zaprezentowane są dodatkowe wyniki badania ekspozycji na alergen w warunkach komory pyłkowej oraz badania przeprowadzonego z zastosowaniem mniejszych dawek.
Alergiczny nieżyt nosa
Badanie MERIT (MT-06)
Pierwszorzędowym punktem końcowym była średnia dziennych ocen objawów nieżytu nosa (TCRS, ang. Total Combined Rhinitis Score), która była oceniana przez 8 ostatnich tygodni leczenia.
Po zakończeniu trwającego 1 rok leczenia z zastosowaniem 12 SQ-HDM, w grupie młodzieży stwierdzono bezwzględna różnicę wynoszącą 1,0 (przedział ufności 95% [0,1; 1,9], p=0,037) i względną różnicę 20% (p = 0,024), w porównaniu z grupą placebo.
Podgrupa młodzieży | 12 SQ-HDM | Placebo | Wynik leczenia | ||||
Pierwszorzędowy punkt końcowy: TCRS | N | Punktacja | N | Punktacja | Bezwzględna różnica | Względna różnica d | p |
P001 | |||||||
FAS (średnia dostosowana) | 76 | 3,6 | 84 | 4,8 | 1,2 a [0,1;2,3] | 25% | <0,05 |
FAS (mediana) | 76 | 3,3 | 84 | 4,3 | 1,0 b [0,1;2,0] | 22% | 0,024 |
TO-203-3-2 | |||||||
FAS (średnia dostosowana) | 99 | 4,1 | 92 | 5,1 | 1,0 c [0,1;1,9] | 20% | 0,037 |
FAS (mediana) | 99 | 4,2 | 92 | 5,2 | 1,0 | 19% | - |
TCRS: suma ocen objawów nieżytu nosa
a: ANCOVA
b: Oszacowanie Hodgesa-Lehmana z przedziałem ufności 95% (podstawowe analizy w badaniu P001)
c: Liniowy model mieszany (podstawowe analizy w badaniu TO-203-3-2)
d: Różnica względna wobec placebo: placebo minus 12 SQ-HDM, podzielone przez placebo
Astma oskrzelowa wywołana alergią:
Dzieci i młodzież w wieku od 5 do 17 lat
Brak doświadczeń klinicznych ze stosowaniem produktu ACARIZAX w leczeniu astmy oskrzelowej wywołanej alergią u dzieci w wieku poniżej 18 lat.
Europejska Agencja Leków uchyliła obowiązek dołączania wyników badań produktu leczniczego ACARIZAX u dzieci w wieku poniżej 5 lat z alergią oddechową na roztocze kurzu domowego (leczenie alergicznego nieżytu nosa, leczenie astmy).
Osoby w podeszłym wieku
Produkt leczniczy ACARIZAX nie jest wskazany do stosowania u pacjentów w wieku powyżej 65 lat (patrz punkt 4.2). Istnieją tylko ograniczone dane dotyczące bezpieczeństwa stosowania i tolerancji leczenia u osób w podeszłym wieku >65 lat.
Długoterminowe leczenie
Międzynarodowe wytyczne dotyczące leczenia zalecają 3 letni okres leczenia w celu osiągnięcia modyfikacji choroby. W przypadku produktu ACARIZAX dostępne są dane obejmujące okres 18 miesięcy z badania MITRA. Nie ustalono skuteczności podczas leczenia długoterminowego.
Nie przeprowadzono badań klinicznych dotyczących profilu farmakokinetycznego oraz metabolizmu produktu ACARIZAX. Działanie immunoterapii alergicznej odbywa się w mechanizmach immunologicznych i dane dotyczące właściwości farmakokinetycznych są ograniczone.
Substancjami czynnymi są wyciągi alergenowe składające się głównie z białek. Badania kliniczne wykazały, że w przypadku produktów leczniczych stosowanych podjęzykowo w immunoterapii alergicznej nie występuje wchłanianie pasywne alergenu przez śluzówkę jamy ustnej. Istnieją dowody, że alergen jest wychwytywany ze śluzówki jamy ustnej przez komórki dendrytyczne, w szczególności przez komórki Langerhansa. Alergen, który nie podlega wchłanianiu w taki sposób jest hydrolizowany do aminokwasów i małych polipeptydów w świetle przewodu pokarmowego. Brak dowodów na to, że
alergeny zawarte w produkcie leczniczym ACARIZAX są wchłaniane w jakimkolwiek znaczącym stopniu do układu naczyniowego po podaniu podjęzykowym.
Dane niekliniczne wynikające z konwencjonalnych badań farmakologicznych dotyczących bezpieczeństwa, badań toksyczności po podaniu wielokrotnym, genotoksyczności, potencjalnego działania rakotwórczego oraz toksycznego wpływu na rozród i rozwój potomstwa nie ujawniają żadnego szczególnego zagrożenia dla człowieka.
Żelatyna (pochodząca z ryb) Mannitol
Sodu wodorotlenek (do ustalenia pH)
Nie dotyczy.
4 lata
Brak szczególnych środków ostrożności dotyczących przechowywania produktu leczniczego.
Blistry aluminium/aluminium w tekturowym pudełku. Każdy blister zawiera 10 liofilizatów podjęzykowych.
Wielkości opakowań: 10, 30, 90.
Nie wszystkie wielkości opakowań muszą znajdować się w obrocie.
Wszelkie niewykorzystane resztki produktu leczniczego lub jego odpady należy usunąć zgodnie z lokalnymi przepisami.
ALK-Abelló A/S Bøge Alle 6-8
DK-2970 Hørsholm Dania
22945
Data wydania pierwszego pozwolenia na dopuszczenie do obrotu: 22 stycznia 2016 Data ostatniego przedłużenia pozwolenia: 04 grudnia 2020
12.05.2023







